网站首页  词典首页


请输入您要查询的字词:

 

字词 甾体避孕药的类型及组成
类别 中英文字词句释义及详细解析
释义
甾体避孕药的类型及组成

甾体避孕药的类型及组成

目前国内外广泛应用的女性内服避孕药,都是人工合成的甾体类激素,主要是雌激素与孕激素两种,两者常合并使用,偶而也单用一种,避孕效果颇为理想。雌激素、孕激素、睾酮等性激素的化学结构与胆固醇相似,称类固醇激素,也称甾体激素。它的基本结构是A、B、C三个苯环及一个D戊环。每个碳原子都有一定序号,各序号根据所带基团不同,而成为具有不同特性的甾体化合物,其饱和碳环的基本结构型式如下:


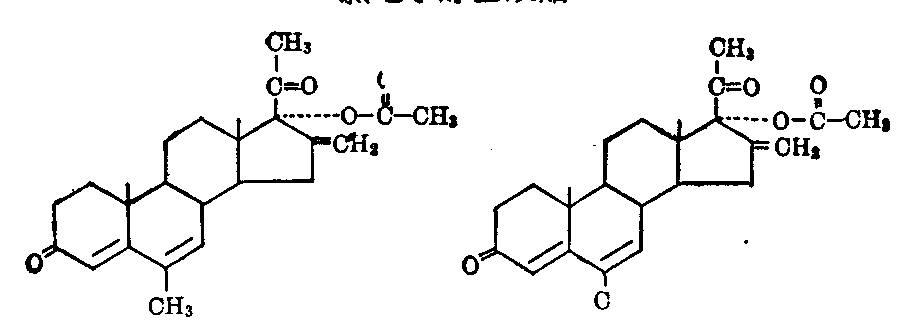
甾体激素避孕药的孕激素成份,可分为19-去甲基睾酮和17α-羟基黄体酮衍生物两大类。在睾酮第19位碳原子上去掉一个甲基即成为19-去甲基睾酮,它的雄激素活性较睾酮明显降低,但却具有孕激素样作用。黄体酮口服效果差,但17-α-羟基黄体酮口服时,却具有很强的孕激素样作用。它们的主要衍生物如下:

炔诺酮

醋炔诺酮

炔诺酮庚酸酯(庚炔诺酮)

去氧炔诺酮

异炔诺酮

双醋炔诺酮

18-甲基炔诺酮

18-甲基三稀炔诺酮

醋炔醚
19-去甲基睾酮衍生物

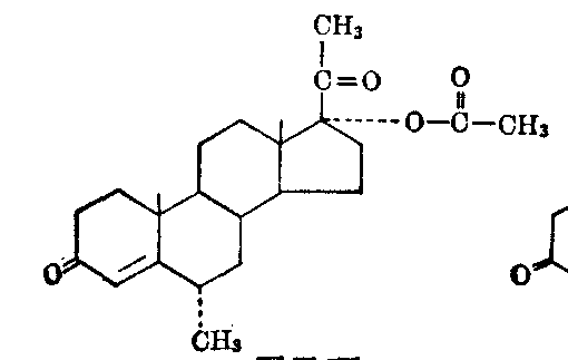
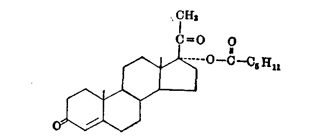
已酸孕酮

甲孕酮

甲地孕酮

氯地孕酮

氯地孕醇已酸酯

16-次甲基甲地孕酮 16-次甲基氯地孕酮
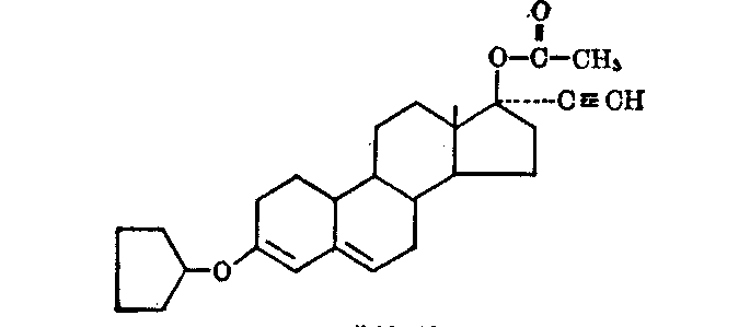
17-a-羟基黄体酮衍生物


以上各种成分都以孕激素活性为主,具有一定抗排卵作用,其它激素活性较弱或缺如,以六种国产甾体避孕药孕激素成分激素活性和作用列表如下:

药物药 物 作 用
内膜
转化
维持
妊娠
抗排
雌激素
活性
抗雌激
素活性
雄激素
活性
促蛋白
质合成
皮质激
素样
作用
炔诺酮+-+±+±±-
醋炔诺酮+-+±+±±-
甲地孕酮++++-+---
氯地孕酮++++-+---
18-甲基
炔诺酮
++++-+±±-
18-甲基
三烯炔
诺酮
+-±±+±±-

甾体避孕药的雌激素成分主要有炔雌醇、炔雌醇-3-甲醚、戊酸雌二醇、苯甲酸雌二醇、炔雌醚、17-环戊烷丙酸雌二醇、庚酸雌二醇等,其中炔雌醇和炔雌醇-3-甲醚口服有效,但作用时间较短,适用于短效口服避孕药;炔雌醚口服有效,作用持久,适用于长效口服避孕药;戊酸雌二醇、苯甲酸雌二醇、17-环戊烷丙酸雌二醇和庚酸雌二醇肌内注射效果持久,适用于注射避孕药。

炔雌醇

炔雌醇-3-甲醚

戊酸雌二醇

苯甲酸雌二醇

炔雌醇

17-环戊烷丙酸雌二醇

戊酸雌二醇


主要雌二醇衍生物


此外尚有A环失碳的甾体化合物双炔失碳酯,简称“53”号探亲避孕片,是一种探亲事后避孕药成分,为我国首创。


双炔失碳酯(“53”号探亲避孕片)


由上列各种成分制备成多种类型甾体激素避孕药,例如:

甾体激素女用避孕药的主要类型及常用成分

主要类型雌激素成分孕激素成分
短效口服避孕药炔雌醇
炔雌醇-3-甲醚
炔诺酮 醋炔诺酮
甲地孕酮 去氧炔诺酮
氯地孕酮
18-甲基炔诺酮
长效口服避孕药炔雌醚氯地孕酮
16-次甲基氯地孕酮
18-甲基炔诺酮
醋炔醚
注射避孕药戊酸雌二醇
庚酸雌二醇
17-环戊烷丙酸雌
二醇
雌二醇
己酸孕酮
炔诺酮庚酸酯
苯甲孕酮
氯地孕醇己酸酯
甲地孕酮
探亲口服避孕药双炔失碳酯*炔诺酮
18-甲基炔诺酮
18-甲基三烯炔诺酮
甲地孕酮 氯地孕酮
醋炔醚

*双炔失碳酯非孕激素成分类,亦不属雌激素成分类型,但因
有弱雌激素活性,故列入“雌激素成分”栏。
关于它们避孕作用的原理已经比较明确。雌激素成分有抗排卵作用;孕激素成分亦有抗排卵作用,并改变子宫颈粘液,使之粘稠,不利精子穿透;同时,子宫内膜在这些激素的影响下,并未适时为胚泡着床作好准备,亦是产生避孕效果的一个环节。如将雌、孕激素合并应用,往往可提高避孕效果,及减少药物副作用。前列各类避孕药作用于多环节者,避孕效果高;作用于个别环节者,避孕效果较低。这些药物成分还可制成各种缓释系统使用,如阴道环等。近年来,更进一步利用各种孕激素成分,制成含药宫内节育器,提高了效果,减少了副反应。
☚ 先天性畸形宫内诊断   短效口服甾体避孕药 ☛
00007568
随便看

 

离鸟网收录3541549条中英文词条,其功能与新华字典、现代汉语词典、牛津高阶英汉词典等各类中英文词典类似,基本涵盖了全部常用中英文字词句的读音、释义及用法,是语言学习和写作的有利工具。

 

Copyright © 2004-2024 vtrois.com All Rights Reserved
更新时间:2026/5/25 14:38:36