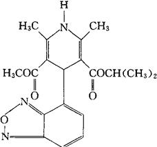
伊拉地平
C19H21N3O5=371.39 CAS-75695-93-1 (±)-4-(4-苯并呋喃基)-1,4-二氢-2,6-二甲基-3,5-吡啶二羧酸,甲基1-甲基乙基酯。 (±)-4-(4-Benzofurazanyl)-1,4-dihydro-2,6-dimethyl-3,5-pyridinedicarboxylic acid,methyl 1-methylethyl ester. 甲基(±)-4-(4-苯并呋咱基)-1,4-二氢-2,6-二甲基-3,5-吡啶二羧酸异丙基酯。 Isopropyl methyl(±)-4-(4-benzofurazanyl)-1,4-dihydro-2,6-dimethyl-3,5-pyridinedicarboxylate. 血管扩张药(冠状和周围),钙通道拮抗药。 Isradipine,PN 200-110,Dyna Circ,Isrodipine. INN,BAN,USAN.  |