网站首页  词典首页


请输入您要查询的字词:

 

字词 伊曲奈德
类别 中英文字词句释义及详细解析
释义 伊曲奈德

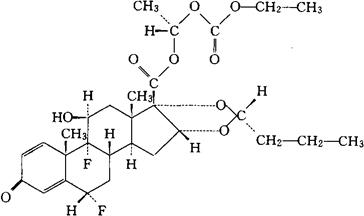
C29H38F2O9=568.61

CAS-106033-96-9

6α-9-二氟-11β,16α,17-三羟-3氧代雄甾-1,4二烯-17β-羧酸,与乙基(S)-1-羟乙基碳酸盐戊酯,再与丁醛结合成环(R)-16,17-己缩醛。

6α-9-Difluoro-11β,16α,17-trihydroxy-3-oxoandrosta-1,4-diene-17β-carboxylic acid,ester with ethyl(S)-1-hydroxyethyl carbonate,cyclic(R)-16,17-actal with butyraldehyde.

肾上腺皮质激素类药。

Itrocinonide.

INN,USAN.

随便看

 

离鸟网收录3541549条中英文词条,其功能与新华字典、现代汉语词典、牛津高阶英汉词典等各类中英文词典类似,基本涵盖了全部常用中英文字词句的读音、释义及用法,是语言学习和写作的有利工具。

 

Copyright © 2004-2024 vtrois.com All Rights Reserved
更新时间:2026/4/6 18:32:46