网站首页  词典首页


请输入您要查询的字词:

 

字词 伊曲康唑[中]
类别 中英文字词句释义及详细解析
释义 伊曲康唑[中]

C35H38Cl2N8O4=705.65

CAS-84625-61-6

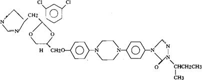
4-[4[4-[4-[[2-(2,4-二氯苯基)-2-(1H-1,2,4-三唑-1-基-甲基)-1,3二氧戊环-4-基]甲氧]苯基]-1-哌嗪基]苯基]-2,4-二氢-2-(1-甲基丙基)-3H-1,2,4-三唑基-3-酮。

4-[4-[4-[4-[[2-(2,4-Dichlorophenyl)-2-(1H-1,2,4-triazol-1-ylmethyl)-1,3-dioxolan-4-yl]methoxy]phenyl]-1-phiperazinyl]phenyl]-2,4-dihydro-2-(1-methylpropyl)-3H-1,2,4-triazol-3-one.

(±)-1-仲-丁基-4-[对-[4-[对-[[(2R*,4S*)-2-(2,4-二氯苯基)-2-(1H-1,2,4-三唑-1-基甲基)-1,3-二氧戊环-4-基]甲氧基]苯基]-1-哌嗪基]苯基]-△2-1,2,4-三唑啉-5-酮。

(±)-1-sec-Butyl-4-[p-[4-[p-[[(2R*,4S*)-2-(2,4-dichlorophenyl)-2-(1H-1,2,4-triazol-1-ylmethyl)-1,3-dioxolan-4-yl]methoxy]phenyl]-1-piperazinyl]phenyl]△2-1,2,4-triazolin-5-one.

抗真菌药。

Itraconazole,R51,211,Oriconazole.

INN,BAN,USAN.

随便看

 

离鸟网收录3541549条中英文词条,其功能与新华字典、现代汉语词典、牛津高阶英汉词典等各类中英文词典类似,基本涵盖了全部常用中英文字词句的读音、释义及用法,是语言学习和写作的有利工具。

 

Copyright © 2004-2024 vtrois.com All Rights Reserved
更新时间:2026/4/8 2:39:41