网站首页  词典首页


请输入您要查询的字词:

 

字词 伊波格雷
类别 中英文字词句释义及详细解析
释义 伊波格雷

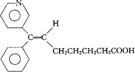
C18H19NO2=281.35

CAS-89667-40-3

(E)-7-苯基-7-(3-吡啶基)-6-庚烯酸。

(E)-7-Phenyl-7-(3-pyridyl)-6-heptenoic acid

抗凝血药,A2-连结酶抑制药。

Isbogrel,Thromboxane.

INN,USAN.

随便看

 

离鸟网收录3541549条中英文词条,其功能与新华字典、现代汉语词典、牛津高阶英汉词典等各类中英文词典类似,基本涵盖了全部常用中英文字词句的读音、释义及用法,是语言学习和写作的有利工具。

 

Copyright © 2004-2024 vtrois.com All Rights Reserved
更新时间:2026/5/26 15:51:35