网站首页  词典首页


请输入您要查询的字词:

 

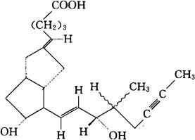
字词 伊洛前列素
类别 中英文字词句释义及详细解析
释义 伊洛前列素

C22H32O4=360.49

CAS-73873-87-7

(E)(3aS,4R,5R,6aS)六氢-5-羟-4-[(E)-(3S,4RS)-3-羟-4-甲基-1-辛烯-6-炔基]△2(1H),8-并环戊二烯戊酸。

(E)-(3aS,4R,5R,6aS)Hexahydro-5-hydroxy-4-[(E)(3S,4RS)-3-hydroxy-4-methyl-1-octen-6-ynyl]-△2(1Hpentalenevaleric acid.

5-[六氢-5-羟-4-(3-羟-4-甲基-1-辛烯-6-炔基)-2-(1H)-并环戊二烯亚基]戊酸。

5-]]Hexahydro-5-hydroxy-4-(3-hydroxy-4-methyl-l-octen-6-ynyl)-2-(lH)-pentalenylidene pentanoic acid.

前列腺素类药,抗高血压药,抗凝血药,外围大脑血管舒张药。

亚罗普斯特。

Iloprost,Ciloprost,ZK 36374.

INN,BAN,USAN.

随便看

 

离鸟网收录3541549条中英文词条,其功能与新华字典、现代汉语词典、牛津高阶英汉词典等各类中英文词典类似,基本涵盖了全部常用中英文字词句的读音、释义及用法,是语言学习和写作的有利工具。

 

Copyright © 2004-2024 vtrois.com All Rights Reserved
更新时间:2026/4/7 16:40:00