网站首页  词典首页


请输入您要查询的字词:

 

字词 病例随访资料分析
类别 中英文字词句释义及详细解析
释义
病例随访资料分析

病例随访资料分析

对不同样本的病例随访资料,分析比较其生存期或缓解期的长短,可判定治疗方法的优劣,疾病预后的好坏,以及保健措施的成效。对病例作随访观察时,一般是从某标准时间(如发病、确诊、入院或手术等)开始,观察到规定的时点(一般是某月末或某年末)截止,所观察的病例在时间上不等。随访的结果有四种情况:
❶死(或复发)于本病;
❷死于其他病;
❸观察到规定截止的时点尚活着(或未复发);
❹因迁移等原因失去联系。后三种情况的观察值都未达到预定的观察终点,都不能提供完全的信息,这种数据称为终检值。对含有终检值的资料,当例数较多时,可用寿命表法作分析(见“病例随访资料分析的寿命表法”)。本条目仅介绍例数较少时的生存(或缓解)率曲线分析、时序检验和Gehan比分检验。若两组例数较多而均衡性较差时,可进一步细分为属性相同的组再作分析比较。
生存率曲线 或称Kaplan-Meier曲线,它是以时间t为横轴,生存(或缓解)率p为纵轴,表示时间与生存关系的函数曲线,如下图。由图可对某一病例的预期生存时间大于t的概率[即生存率,记为p(X>t)]作出估计,用于样本间的直观分析比较。曲线绘制法如下:
(1)将含量为n的样本观察值Xi由小到大依次排列,秩次i=1,2,…,n。如遇非终检值和终检值相同时,将非终检值(看作较小)排在前面,如表1第(2)栏。观察值的时间单位愈小,则精度愈高,如生存期用日计比用月计可提高精度。
(2)列出各时点(实为一短的时间单位)开始时的病例数,即期初病例数,如表1第(3)栏。
(3)计算各时点的死亡概率(该时点死亡数/期初病例数,如表1第(4)栏)。
(4)求活过各时点的生存率,p(X>t)。方法有二:
❶求从开始观察时点到某观察时点t止,各生存概率(即1-死亡概率)的连乘积。
❷按式(1)计算

上式右端表示把小于或等于t的各个非终检值所对应的连乘起来。两法的结果应相等(如表1第(5)栏)。
(5)按式(2)计算t为非终检值时生存率的标准误说明p(X>t)的抽样波动(如表1第(6)栏)。特别在单独报道时点的生存率时,宜附注其标准误sp(X>t)。

表示把小于或等于t的各个非终检值所对应的
(6)作生存率曲线。将各非终检值及其对应的生存率标在直角坐标纸上,然后将各点向右连成与横轴平行的阶梯形,如下图。
例1 用某中药+化疗(中药组)和化疗(对照组)两种疗法治疗白血病后,随访记录死前存活月数(不带“+”号)及终检值(月数,带“+”号)如下,试分别绘制两组的生存率曲线,并作比较。

中药组102+12+13186+19+269+8+
6+43+943124    
对照组2+137+11+61113177

(1)中药组。列生存率计算表,见表1。

表1 中药组生存率的计算


第(5)栏生存率的计算。用
❶法:
p(X>2)=1-0/16=1,
p(X>4)=(1-0/16)(1-1/15)=0.933,
p(X>6)=(1-0/16)(1-1/15)(1-0/14)=0.933,………;或用
❷法:


第(6)栏,生存率的标准误的计算。按式(2):


(2)对照组。生存率及其标准误的计算仿此,从略。
将表1第(2)、(5)栏资料标在方格坐标纸上,得中药组生存率曲线,如图;同法得对照组生存率曲线。由此可见,两曲线的差别较为明显,在任何时点中药组的生存率均高于对照组。


中药组与对照组的生存率曲线


时序检验 可用于两个或多个样本生存(或缓解)期的比较。方法如下:
(1)求各样本的理论病死数,列计算表,如表2。
❶将各样本数据统一由小到大依次排列,标明所属组别、是否终检值,如第(1)~(3)栏。
❷列出各时点的“期初病例数”,如第(4)~(6)栏。
❸按各时点的合计病死概率(如第(3)栏/第(4)栏)计算各样本相应的理论病死数,如第(7)、(8)栏。
❹求各样本的实际病死数A(如第(3)栏)与理论病死数T(如第(7)、(8)栏合计)。
(2) 求各样本的病死比,如表3。
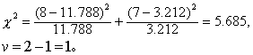
(3) 按式(3)计算统计量x2值,

算得x2值后,查x2界值表得P值,按所取检验水准作出推断结论。
例2 对例1资料作时序检验,比较中药组与对照组生存期有无差别。
H0: 中药组与对照组的生存期相等,H1: 中药组与对照组的生存期不等。
α= 0.05。
理论病死数的计算见表2。

表2 两组的理论病死数的计算



· 1为中药组,2为对照组
病死比的计算见表3。

表3 两组的病死比

组 别病例数实际病死数
(A)
理论病死数
(T)
病死比
(A/T)
中药组
对照组
16
10
8
7
11.788
3.212
0.679
2.179


查x2界值表,0.025>P>0.01。按α=0.05水准拒绝H0,接受H1,中药组的病死比较小,故可认为疗效较好,生存期较长。
Gehan比分检验 本法用于两样本生存(或缓解)期的比较。方法如下:
(1)将两样本数据统一由小到大依次排列,标明所属组别、是否终检值,如表4第(1)~(3)栏。
(2)计算R1、R2与(R1-R2)值。就每一病例,数一数有多少病例肯定比它的生存期短,记作R1,如表4第(4)栏;再数一数有多少病例肯定比它的生存期长,记作R2,如表4第(5)栏。求R1-R2的差值,如表4第(6)栏。
(3)求Gehan比分总计V。分别求两样本R1-R2之和(即Gehan比分总计V),两者绝对值相等,符号相反,可资核对。显然,若某一样本的生存期较长,则在统一排列的数据中,必然更多地集中在大值一端,如表4第(2)栏下部,于是导致R1多较大而R2多较小,其V值为正。反之,若两样本生存期相等,则在统一排列的数据中理应随机地均匀交错,使V为0。
(4) u检验。由于V的抽样分布近似于均数为0,标准的正态分布,故可按式
(4)作u检验。


式中n1、n2分别为两样本含量,余同上。算得u值后,查u界值表得P值,按所取检验水准作出推断结论。
例3 对例1资料作Gehan比分检验,比较中药组与对照组的生存期有无差别。
H0、H1及α同例2。
列计算表求R1-R2,见表4。
n1=16,n2=10。
中药组V=1-19+4+4+5-9+6-6+8+1+6
+12+9+11+13+15=61,
∑(R1-R2)2=(-25)2+12+12+(-21)2+…+152=3060,


查u界值表,得0.05>P>0.01,按α=0.05水准拒绝H0,接受H1,又中药组V为正,故可认为中药组的生存期较对照组长。

4 R1-R2的计算


组别*
(1)
观察月数
(2)
病死数
(3)
R1
(4)
R2
(5)
R1-R2
(6)=(4)-(5)
2
2
1
1
2+
2+
10
1
1
25
0
0
-25
+1
+1
2
1
2
1
1
3
4
6
6+
6+
1
1
1
1
2
3
4
4
22
21
20
0
0
-21
-19
-17
+4
+4
2
2
1
7
7+
8+
14
5
5
17
0
0
-13
+5
+5
1
1
9
9+
15
6
14
0
-9
+6
1
2
2
1
10
11
11+
12+
1
1
6
7
8
8
12
11
0
0
-6
-4
+8
+8
2
1
2
1
1
13
13
17
18
19+
1
1
1
1
8
8
10
11
12
7
7
6
5
0
+1
+1
+4
+6
+12
1
1
1
1
24
26
31
48+
1
1
1
12
13
14
15
3
2
1
0
+9
+11
+13
+15

* 1为中药组,2为对照组。
Gehan比分的记分和V值的计算,尚可进一步用表5来说明:
❶分别将两组观察值由小到大排列。
❷将中药组的每一观察值与对照组的每一观察值作比较,今中药组有16个观察值,对照组有10个,可作16×10=160个比较。对每一比较若规定中药组确实为优(即生存期较长)比分记“+1”分,则对照组确实为优记“-1”分;若两个终检值作比较,或一个非终检值与另一个比它小的终

表5 两组按Gehan比分法记分

中药组对 照 组
12+3677+1111+1317
2+
4
6+
6+
8+
9
9+
10
12+
13
18
19+
24
26
31
43+
+1
+1
+1
+1
+1
+1
+1
+1
+1
+1
+1
+1
+1
+1
+1
+1
0
0
0
0
0
0
0
0
0
0
0
0
0
0
0
0
0
+1
+1
+1
+1
+1
+1
+1
+1
+1
+1
+1
+1
+1
+1
+1
0
-1
+1
+1
+1
+1
+1
+1
+1
+1
+1
+1
+1
+1
+1
+1
0
-1
0
0
+1
+1
+1
+1
+1
+1
+1
+1
+1
+1
+1
+1
0
-1
0
0
0
0
0
0
0
0
0
0
0
0
0
0
0
-1
0
0
0
-1
0
-1
+1
+1
+1
+1
+1
+1
+1
+1
0
-1
0
0
0
-1
0
-1
0
0
0
0
0
0
0
0
0
-1
0
0
0
-1
0
-1
0
0
+1
+1
+1
+1
+1
+1
0
-1
0
0
0
-1
0
-1
0
-1
+1
+1
+1
+1
+1
+1
合 计16 151311-15-332
检值作比较,都不能肯定何种疗法为优,则记“0”分。
❸将所有比分总计即V值。如表5,V=16+15+13+…+2=61,与由表4算得结果相同,可相互核对。
☚ 联合作用分析   病例随访资料分析的寿命表法 ☛
00013291
随便看

 

离鸟网收录3541549条中英文词条,其功能与新华字典、现代汉语词典、牛津高阶英汉词典等各类中英文词典类似,基本涵盖了全部常用中英文字词句的读音、释义及用法,是语言学习和写作的有利工具。

 

Copyright © 2004-2024 vtrois.com All Rights Reserved
更新时间:2026/4/8 13:46:59