网站首页  词典首页


请输入您要查询的字词:

 

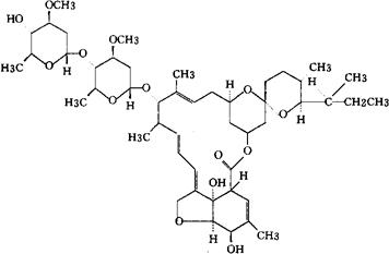
字词 伊维菌素B1a组分
类别 中英文字词句释义及详细解析
释义 伊维菌素B1a组分

C48H74O14

CAS-70161-11-4

5-O-去甲基-22,23-二氢-伊维菌素A1a

Avermectin A1a,5-O-demethyl-22,23-dihydro-.

(2aE,4E,8E)-(5′S,6S,6′R,7S,11R,13R,15S,17aR,20R,20aR,20bS)-6′-(S)-仲-丁基-3′,4′,5′,6,6′7,10,11,14,15,17a,20,20a,-20b十四氢-20,20b-二羟-5′,6,8,19-四甲基-17-氧代螺[11,15-亚甲基-2H,13H,17H-呋喃并[4,3,2-Pg][2,6]-苯并二噁环辛癸基-13,2′-[2H]吡喃]-7-基2,6-二去氧-4-O-(2,6-二去氧-3-O-甲基-α-L-阿拉伯-己吡喃糖基)-3-O-甲基-α-L-阿拉伯-己吡喃糖苷。

(2aE,4E,8E)-(5′S,6S,6′R,7S,11R,13R,15S,17aR,20R,20aR,20bS)6′-(S)-Sec-Butyl-3′,4′,5′,6,6′,7,10,11,14,15,17a,20,20a,20b-tetradecahydro20,20b-dihydroxy-5′6,8,19-tetramethyl-17-oxospiro[11,15-methano-2H-13H,17H-furo[4,3,2-pg][2,6]-benzodioxacyclooctadecin-13,2′-[2H]-pyran]-7-yl2,6-dideoxy-4-O-(2,6-dideoxy-3-O-methyl-α-L-arabinohexopyranosy)-3-O-methyl-α-L-arabino-hexopyranoside.

抗生素类药。

Ivermactin Component B1a Component of Ivermectin.

USAN,MI.

随便看

 

离鸟网收录3541549条中英文词条,其功能与新华字典、现代汉语词典、牛津高阶英汉词典等各类中英文词典类似,基本涵盖了全部常用中英文字词句的读音、释义及用法,是语言学习和写作的有利工具。

 

Copyright © 2004-2024 vtrois.com All Rights Reserved
更新时间:2026/4/5 18:12:42