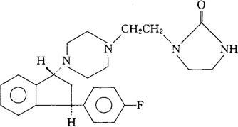
伊茚达酮
C24H29FN4O=408.52 CAS-96478-43-2 (+)-(1R,3S)-1-[2-[4-[3-(对-氟苯基)-1-二氢化茚基]-1-哌嗪基]乙基]-2-咪唑啉酮。 (+)-(1R2,3S)-1-[2-[4-[3-(p-Fluorophenyl)-1-indanyl]-1-piperazinyl]ethyl]-2-imidazolidinone. 1-[2-[4-[3-(4-氟苯基)-2,3-二氢-1H-茚-1-基-]-1-哌嗪基]-2-咪唑啉酮。 1-[2-[4-[3-(4-Fluorophenyl)-2,3-dihydro-1H-inden-1-yl]-1-piperazinyl]-2-imidazolidinone. 抗高血压药。 吲达酮。 Irindalone. INN,USAN. 
|