网站首页  词典首页


请输入您要查询的字词:

 

字词 伊莫特罗
类别 中英文字词句释义及详细解析
释义 伊莫特罗

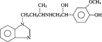
C20H25N3O3=355.44

CAS-88578-07-8

α-[[[3-(1-苯并咪唑基)-1-甲基丙基]氨基]甲基]香草醇。

α-[[[3-(1-Benzimidazolyl)-1-methylpropyl]amino]methyl]vanillyl alcohol.

α-[[[3-(1-苯并吡唑-1-基)-1-甲基丙基]氨基]甲基]-4-羟-3-甲氧苯甲醇。

α-[[[3-(1H-Benzimidazol-1-yl)-1-methylpropyl]amino]methyl]-4-hydroxy-3-methoxybenzenemethanol.

支气管扩张药。

Imoxiterol,RB 1622.

INN,USAN.

随便看

 

离鸟网收录3541549条中英文词条,其功能与新华字典、现代汉语词典、牛津高阶英汉词典等各类中英文词典类似,基本涵盖了全部常用中英文字词句的读音、释义及用法,是语言学习和写作的有利工具。

 

Copyright © 2004-2024 vtrois.com All Rights Reserved
更新时间:2026/4/6 18:57:44