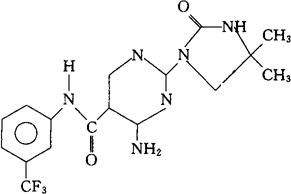
伊马昔尔
C17H17F3N6O2=394.36 CAS-75689-93-9 4-氨基-2-(4,4-二甲基-2-氧代-1-咪唑烷基)-α,α,α-三氟-5-嘧啶羧基-间-甲苯胺。 4-Amino-2-(4,4-dimethyl-2-oxo-1-imidazolidinyl)-α,α,α-trifluoro-5-pyrimidinecarboxy-m-toluidide. 4-氨基-2-(4,4-二甲基-2-氧代-1-咪唑烷基)-N-[3-(三氟甲基)苯基]-5-嘧啶羧甲酰胺。 4-Amino-2-(4,4-dimethyl-2-oxo-1-imidazolidinyl)-N[3-(Trifluoromethyl)phenyl]-5-pyrimidine carboxamide. 抗动脉粥样硬化药,抗凝血药。 Imanixil. INN,USAN.  |