| 释义 |
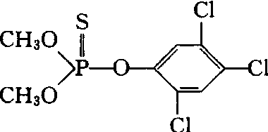
皮蝇磷fenchlorphos低毒内吸性硫逐式一硫代磷酸酯类畜用杀虫剂。化学结构式:  1954年美国陶氏化学公司(Dow Chemical Co.)首先开发。 性能 纯品为白色结晶固体,熔点41℃,在中性和微酸性介质中稳定,在碱性介质中易分解。不溶于水,室温下水中溶解度为44毫克/升,易溶于大多数有机溶剂。对高等动物低毒,大白鼠急性口服LD501740毫克/千克(雄); 兔急性经皮LD50 2000毫克/千克。皮蝇磷对作物药害严重,只能用于防治家畜体内外寄生虫,经口进入家畜体内后,有动物内吸传导作用。 应用 皮蝇磷可采用给牲畜吞服、药液喷涂体表、药液洗浴等方式,防治牛体内牛皮蝇移行期幼虫,以及牛瘤蝇、纹皮蝇。体表用药可防治牛、羊、猪的蝇、虱、蜱、螨等体外寄生虫。厩舍用药液喷雾,可防治蝇类等家畜体外寄生虫。皮蝇磷fenchlorphos内吸有机磷杀虫剂。化学名称:O,O-二甲基-O-(2,4,5-三氯苯基)硫逐磷酸酯。化学结构式如下。白色结晶粉末,熔点40~42℃,25℃蒸气压0.1Pa,室温时水中溶解度为44 mg/kg,易溶于大多数有机溶剂。在60℃下稳定,在中性和酸性介质中稳定,遇碱分解。具有触杀作用,用于防治牛、羊、猪等动物体内外蝇、虱等寄生虫,对居室内家蝇、蜚蠊、跳蚤、臭虫、衣鱼等害虫亦有效。大鼠急性口服LD50为1 740 mg/kg,经皮急性LD50为2 000 mg/kg。 
|