网站首页  词典首页


请输入您要查询的字词:

 

字词 目标规划
类别 中英文字词句释义及详细解析
释义

目标规划

一种多目标的决策方法。线性规划的进一步发展。以管理目标为标准,在满足一组资源约束和管理目标约束条件下,求一组变量的值,实现管理目标与实际可行目标值之间的最小偏差。主要用以解决以下三类问题:1.为达到不同的目标组合,需什么样的资源或输入;2.根据已有一定数量和质量的资源,在不同目标组合情况下,会取得怎样的经济效果;3.在不断调整目标组合和优先次序情况下,选择最能符合统筹兼顾原则的方案。

目标规划

目标规划Goal Drogramming

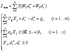
求解重要程度不同,度量单位不一的多目标规划问题的方法。目标规划是在线性规划基础上发展起来的,其模型结构和算法与线性规划基本相似,也是线性规划的扩展。目标规划是求一组变量的和,在满足一组资源的总和目标约束的条件下,实现与目标的偏差和最小。其模型结构为:
变量 除决策变量Xi之外,还有目标的偏差变量di+,di-。di+表示超过目标,di-表示未达到目标。
目标函数 目标规划解决多目标问题,它对目标函数的要求是在给定的约束集合内,使计划目标与可能达到的目标之间的偏差和最小,因此目标函数是以给定目标的偏差变量之和的极小值来描述的。至于目标的重要程度则是以优先因子Pk来描述,P1≫P2≫…≫Pn,“》”表示“远大于”,也就是说在求解过程中,必须先满足优先级高的目标,然后再是优先级低的目标。目标函数由分目标及其优先因子构成,分目标有以下几种:要求准确实现目标,应将该目标的正、负偏差变量均列入目标函数,并令其和最小,Zmin=di++di-;要求超额完成目标,不许不完成,则应将该目标的负偏差列入目标函数,并令其最小,Zmin=di-;要求不超过目标值,如规定的材料消耗等,应将目标的正偏差列入目标函数,并令其最小,Zmin=di+。综上所述,目标规划的目标函数为:


约束条件 一般的约束条件类似线性规划,特殊的约束为目标约束其形式如下:


式中:gi——第i个目标(i=1…m);Cij——对目标约束的系数;di+,di-——相对于目标值的偏差。
除了一般约束和目标约束之外,还有对变量非负约束Xi≥0;di+ 、di-≥0,所以目标规划的一般形式为:


例:某企业生产A、B两种产品,由加工和装配两个车间完成。两种产品相关数据见表11-1。


表11-1

时间
车间
产品加工时间(小时)每月总可
用时间
(小时)
每小时
加工费
(元)
AB
加工211208
装配131509

指标
产品
库存成本
(元/件)
预计销量
(件)
毛利
(元/件)
A5050100
B308075

目标为:
P1:库存品每月费用不超过4600元;
P2:A产品至少销售50件;
P3:两车间未利用时间最少;
P4:加工车间加班时间每月不超过20小时;
P5:B产品至少销售80件。
解:设X1是A产品的计划月产量,X2是B产品的计划月产量;di+和di-(i=1…6)分别是Pi(i=1…5)的偏差变量。先列出关于各目标Pi的约束方程:
P1:50X1+30X2+d1--d1+=4600
P2:X1+d 2--d2+=50
P3:2X1+X2+d3--d3+=120X1+3X2+d4--d4+=150
P4:2X1+X2+d 5--d 5+=140
P5:X2+d6--d6+=80
本题除了目标约束之外,没有一般约束。考虑目标函数,对于各分目标,有:
P1:minZ=d1+
P2:minZ=d2-
P3:minZ=d 3-+2d4-
P4:minZ=d5+
P5: minZ=d6-
故目标函数为:
minZ=P1d1++P2d2-+P3(d3-+2d4-)
+P4d5-+P5d6-
连上目标约束及X1,X2,di+,di-≥0 (i=1…6),即是最后的模型。对这个模型求解的最后结果为:
X1=50,X2=40
d3+=20,d4+=20,d1-=900,d5-=40,
d1+=d2+=d3-=d4-=d5+=d6+=0
由此可以看到目标规划用于解决多目标问题,应用起来比线性规划方便。
☚ 盈亏平衡点法   ABC分析法 ☛
目标规划

目标规划

一种用来进行含有单目标和多目标的决策分析的数学规划方法。线性规划的一种特殊类型。它是在线性规划基础上发展起来的,多用来解决线性规划所解决不了的经济、军事等实际问题。它的基本原理、数学模型结构与线性规划相同,也使用线性规划的单纯形法作为计算的基础。所不同之处在于,它从试图使目标离规定值的偏差为最小入手解题,并将这种目标和为了代表与目标的偏差而引进的变量规定在表达式的约束条件之中。下列为单目标规划模型的一般形式:

☚ 非线性规划   图解法 ☛
00008860
随便看

 

离鸟网收录3541549条中英文词条,其功能与新华字典、现代汉语词典、牛津高阶英汉词典等各类中英文词典类似,基本涵盖了全部常用中英文字词句的读音、释义及用法,是语言学习和写作的有利工具。

 

Copyright © 2004-2024 vtrois.com All Rights Reserved
更新时间:2026/4/9 4:46:24