网站首页  词典首页


请输入您要查询的字词:

 

字词 传递函数
类别 中英文字词句释义及详细解析
释义 传递函数

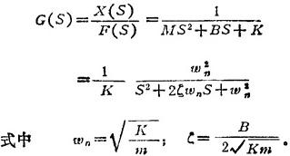
传递函数是经典控制理论中最常用的一种数学模型,只适用于线性定常连续系统,线性定常连续系统的传递函数定义为:在零初始条件下,系统输出量拉氏变换与输入量拉氏变换之比。通常用符号G(s)表示,若设线性定常连续系统微分方程一般形式为

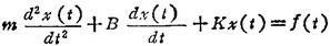
解:该系统输入量为f(t),输出量为x(t),应用牛顿第二定律,可列出该系统的运动方程为

在零初始条件下对上式两端取拉氏变换后,可得传递函数

随便看

 

离鸟网收录3541549条中英文词条,其功能与新华字典、现代汉语词典、牛津高阶英汉词典等各类中英文词典类似,基本涵盖了全部常用中英文字词句的读音、释义及用法,是语言学习和写作的有利工具。

 

Copyright © 2004-2024 vtrois.com All Rights Reserved
更新时间:2026/4/8 15:10:22