网站首页  词典首页


请输入您要查询的字词:

 

字词 短半衰期核素标记物的快速制备和快速鉴定
类别 中英文字词句释义及详细解析
释义
短半衰期核素标记物的快速制备和快速鉴定

短半衰期核素标记物的快速制备和快速鉴定

短半衰期核素标记物的快速制备和快速鉴定是指对加速器生产的短半衰期核素,采取联机管道式连续反应系统,在强化的反应条件下,快速制备所需要的标记物,紧接着又用自动化的检测系统对产品进行快速鉴定。其目的是向临床提供比放射性足够高的、合格的短半衰期放射性药物。
一般方法 联机管道式连续反应系统,是将标记物合成反应的各步实验条件(包括试剂、温度、压力等),按反应顺序分段设置在特殊设计的管道中。系统的一端,即核素入口,与加速器的出料口相连,通入对反应是惰性的稳定调速的气体流,将核素原料(一般均为气体),吹带通入反应系统,使之逐步反应为最后的标记产


图1 放射性高效液相层析模式
1. 层析液 2. 加压器 (可加至
400大气压) 3. 注入系统 4.
层析分离柱 5. 折射系数(RI)
指示 6. 紫外吸收(UV)指示
7.井型探头 8.收集器 9.电
子学部分[本图引自Machulla
HJ et al:J.Radioanal.Chem.
32(2):381,1976]

物。有些反应步骤在通常条件下进行速度较慢,常采用强化的反应条件,如高温、高压等,以尽可能缩短反应时间。产品的精制常采用气相层析、高效液相层析、离子交换等方法;消毒灭菌则采用微孔薄膜过滤等快速手段。产品的快速鉴定通常和层析分离同时进行,即在层析仪的流出端通过闪烁探头、紫外线分光光度计等,自动记录必要的参数。整个过程自动控制,操作者仅在远距离作必要的调整。
氮-13(13N)标记物的制备 加速器生产的13N大多以13NH3形式出料,临床可直接用于心肌显象及脑血流等检查。需要时也可以13NH3为原料,通过酶促反应快速制备13N标记的氨基酸。例如α-酮戊二酸与13NH3在谷氨酸脱氢酶催化下5分钟即可生成13N-谷氨酸,经离子交换法纯化,产率可达90%。类似方法还有: 从丙酮酸制备丙氨酸、从α-酮异己酸制备亮氨酸、从谷氨酸制备谷氨酰胺等。还有一些生物合成法可在短时间内制备更复杂的有机化合物,相应的分离方法也稍复杂。
氧-15(15O)标记物的制备 加速器生产的15OO通过900℃和400℃的活性炭时分别形成C15O和C15OO。以它们为原料可制备各种15O标记的化合物。目前临床应用较多的15O标记物是含15O的氧合血红蛋白和一氧化碳血红蛋白,以及用15O标记血中的水。15O-氧合血红蛋白以15OO为原料,于37~40℃与红细胞接触3分钟即能达到接近100%标记,比放射性可达1mCi/ml。15O-一氧化碳血红蛋白以C15O为原料,方法相似,比放射性可达0.5mCi/ml。血中水的标记则以C15OO为原料,借助碳酸酐酶的作用完成下列反应:

10秒钟反应即可完成,比放射性可达1mCi/ml。
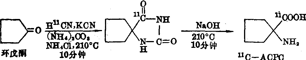
碳-11(11C)标记物的制备 11C用途较广,标记物品种也较多,一般通过化学合成和生物合成两种途径来制备。加速器出料是11CO和11CO2,可直接用于脑血流量的检查。11C标记的氨基酸主要用改良的Bucherer-Strecher法制备。例如用作肿瘤显象剂的11C-1-氨基环戊烷羧酸(简称11C-ACPC)的合成,全部合成历时1小时(相应的14C-ACPC用一般方法需4~5天),放射性产率(经衰变校正)约40%。用相似的方法还可快速合成其他11C标记的氨基酸如11C-DL-色氨酸等。



图2 11C-ACPC的合成步骤


11C-葡萄糖、11C-半乳糖、11C-甘露糖醇及11C-甘油可从11CO2开始通过生物合成途径制备。11C-胸腺嘧啶核苷可用胸腺嘧啶核苷合成酶催化合成,用特异的固定酶法,通过高效液相层析纯化还可制备更多的11C标记物。
氟-18(18F)标记物的制备18F经常用于骨显象以诊断骨肿瘤,也可用于测定骨血流量。近年来发现,以氟原子替换代谢物中的氢原子时,所得类似物的生物行为与原代谢物十分近似,例如用18F-脱氧葡萄糖研究脑中葡萄糖的代谢。18F半衰期为110分钟,比较适中。因此18F标记化合物的研制已成为标记化合物有机合成中的一个重要课题。可以用C-18F代替C-H,用C-18F3代替C-H3或NO2,用C-18F代替C-OH,以及用-C6H418F(苯环中加入18F)标记蛋白等方法制备各种18F标记物。例如从加速器中得到的无水18F-F通入尿嘧啶溶液中,经升华、高效液相层析系统纯化,可得到纯度99%的5-18F-尿嘧啶,反应仅需15分钟,产品比放射性可达1.1mCi/mg。


图3 5-18F-尿嘧啶的制备反应


碘-123 (123I)标记物的制备 几乎所有能碘化的物质都可通过氧化和电解技术来制备123I的标记物。可以用熔化的方法加速反应。例如在碱性溶液中,用熔化的办法仅需45分钟就可制成测定肾功能用的123I-邻碘马尿酸。此外,也可采用卤素交换法、酶促法等制备123I的标记物。
☚ 反冲标记   放射性标记物的自分解 ☛
00018681
随便看

 

离鸟网收录3541549条中英文词条,其功能与新华字典、现代汉语词典、牛津高阶英汉词典等各类中英文词典类似,基本涵盖了全部常用中英文字词句的读音、释义及用法,是语言学习和写作的有利工具。

 

Copyright © 2004-2024 vtrois.com All Rights Reserved
更新时间:2026/4/8 16:27:21