伽玛(Г)分布
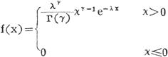
亦称“皮尔生Ⅲ型分布”。 皮尔生曲线系中最重要的分布之一。指随机变量分布之一侧为有限,另一侧则延伸至无穷,按其所选择的不同参数,有不同形态的分布,其分布密度函数为:  这个分布称参数为λ>0,ν>0的伽玛分布。 其数学期望=ν/λ,方差=ν/λ2,特征函数=(1-it/λ)-γ。 (1)ν=1时,就成为指数分布;(2)λ=1/2,γ=n/2时,就成为自由度为n的卡方分布。 伽玛分布在概率论、数理统计、随机过程中均有不少应用,如推导X2分布、t分布、F分布。它常用于水文统计、最大风速等的概率计算。 |