网站首页  词典首页


请输入您要查询的字词:

 

字词 低浓纸浆的测量计算
类别 中英文字词句释义及详细解析
释义 低浓纸浆的测量计算

[说明]适用于浓度小于1%的纸浆浓度的测量计算。

1.根据纸浆悬浮液光学特性原理研制的变送器的测定浓度计算

[说明]测定原理是通过纸浆悬浮液的光线被吸收和部分的散射来测量计算纸浆的浓度,这种散射取决于纸浆悬浮液中的填料、染料等的含量。即纸浆浓度可根据穿过纸浆悬浮液的光线强度来测定。

式中 C——纸浆浓度(%)

Iv——光源强度

I——穿过纸浆悬浮液的光线强度

x——单位物质浓度吸收光线的指数,它取决于纸浆悬浮液的光学特性(其中包括纸浆纤维形态、长度、打浆度等)和光线的波长

l——光穿过纸浆的厚度

2.超声波浓度变送器的测定计算

[说明]该仪器是根据纸浆悬浮液对超声波的吸收或者反射与在它的液体中悬浮的颗粒(即浓度)有关,对于球形的固体颗粒,其计算如下。

式中 C0——纸浆体积浓度

α——超声波的吸收系数,与声能的散射有关

V——声的传播速度

ω——角频率

γ——悬浮体颗粒的半径

3.直接测定纤维的重量含量的计算

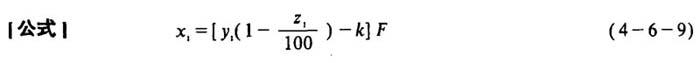
[说明]对于浆浓为0.05~1%的悬浮液中纤维的重量可以用自动装置来测量。在这种装置中,用稳定流量的方法(经过流浆箱)将浆流取出一部分(或试样)沿筛网放到运动著的过滤纸上,用真空容器脱水,再用红外线烘干至2~3%的水分。形成的条形物的水分和纸基用伯——莱伯卡公司的湿度计来测量,此后将条形物切成块状,用自动称进行称量。悬浮液中的干纤维含量xi可用下式计算。

式中 xi——纤维含量(g/t)

yi——纸张切成碎片的重量(g)

z1——烘干了的纸张水分(%)

k——纸基干重(g)

F——常数

随便看

 

离鸟网收录3541549条中英文词条,其功能与新华字典、现代汉语词典、牛津高阶英汉词典等各类中英文词典类似,基本涵盖了全部常用中英文字词句的读音、释义及用法,是语言学习和写作的有利工具。

 

Copyright © 2004-2024 vtrois.com All Rights Reserved
更新时间:2026/5/25 13:53:31