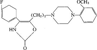
佐洛哌隆
C22H24FN3O3=394.42 CAS-52867-74-0 4-(对-氟苯基)-5-[2-[4-(邻-甲氧苯基)-1-哌嗪基]乙基]-4-噁唑啉-2-酮。 4-(p-Fluorophenyl)-5-[2-[4-(o-methoxyphenyl)-1-piperazinyl]ethyl]-4-oxazolin-2-one. 4-(4-氟苯基)-5-[2-[4-(2-甲氧苯基)-1-哌嗪基]乙基]-2(3H)噁唑酮。 4-(4-Fluorophenyl)-5-[2-[4-(2-methoxyphenyl)-1-piperazinyl]ethyl]-2(3H)-oxazolone. 抗精神病药。 Zoloperone,LR 511. INN,USAN. 
|