网站首页  词典首页


请输入您要查询的字词:

 

字词 体积计量法
类别 中英文字词句释义及详细解析
释义 体积计量法

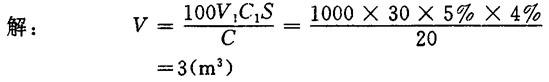
【公式】

式中 V——漂液加用量(m3)

V1——漂池装浆量(m3)

C1——装浆浓度(%)

S——未漂浆漂率(%)

C——加入漂液浓度(g有效氯/L)

【例1】 设漂白机容积为35m3,每次装入浓度为5%的麦草浆30m3。未漂麦草浆的漂率为4%,次氯酸盐漂液浓度为20g有效氯/L,试求应加入漂液量(麦草浆密度按1t/m3考虑)?

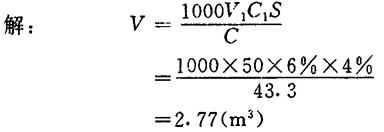
【例2】 某厂漂白机装浆容积为50m3,漂白用氯量为4%,漂白浓度为6%,漂液有效氯含量为43.3g/L,求漂液需用量。

随便看

 

离鸟网收录3541549条中英文词条,其功能与新华字典、现代汉语词典、牛津高阶英汉词典等各类中英文词典类似,基本涵盖了全部常用中英文字词句的读音、释义及用法,是语言学习和写作的有利工具。

 

Copyright © 2004-2024 vtrois.com All Rights Reserved
更新时间:2026/5/31 20:46:11