网站首页  词典首页


请输入您要查询的字词:

 

字词 碘苷
类别 中英文字词句释义及详细解析
释义

碘苷Iodoxuridine, IDU

又叫碘甙、疱疹净、碘去氧尿啶,系一种抗病毒药。本品对单纯疱疹病毒Ⅰ型、牛痘病毒及腺病毒等DNA型病毒均有抑制作用。临床用于疱疹性角膜炎及其他疱疹性眼病,多以0.1%溶液滴眼;对单纯疱疹病毒引起的皮肤损害可用其搽剂。本品不宜长期点眼用,因可引起角膜小点或混浊;有时可引起眼疼痛、瘙痒、水肿、过敏、发炎;也可引起血液系统、消化系统及全身其他反应。本品应避光保存。

碘苷

碘苷

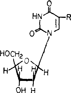
胸苷衍生物R
胸苷
碘苷
三氟胸苷
溴乙烯尿苷
乙基脱氧尿苷
CH3
I
CF3
C2H2Br
C2H5

碘苷 (Idoxuridine,IDU,IDUR) 又名疱疹净,原为合成抗肿瘤药(1959),因体内、外均有抗DNA病毒作用,1962年试用滴眼治疗单纯疱疹角膜炎有效,后广泛用为抗疱疹病毒眼药。
碘苷是胸腺嘧啶类似物,以碘代替胸腺嘧啶的5-甲基,是核酸抗代谢物。
碘苷在组织培养内抑制痘病毒,单纯疱疹病毒1、2型,水痘-带状疱疹病毒,巨细胞病毒,E-B病毒和腺病毒。对家兔痘病毒和疱疹病毒角膜炎,用碘苷滴眼,每小时一次,治疗有效,但不能阻断疱疹病毒的潜伏感染和控制复发,易引起疱疹病毒的耐药性。碘苷的作用机制主要是在病毒感染细胞内与病毒DNA前体胸腺嘧啶竞争,掺入新合成的子代病毒,改变痘病毒和疱疹病毒的基因传递,形成无感染性的缺损病毒,阻断病毒的繁殖。碘苷也能取代细胞DNA的胸腺嘧啶,抑制细胞DNA合成,对细胞有一定毒性。
碘苷滴眼剂或眼膏在临床局部应用治疗疱疹性角膜炎,为常用药,但已引起抗药性。副作用为对眼角膜有一定刺激性。全身用药毒性大,有致畸胎、致突变,抑制免疫功能、血象等。
碘苷类似物 自碘苷在临床用于治疗疱疹病毒角膜炎以来,已合成了大量类似物。其中,5-卤代-2′-脱氧尿苷有:三氟胸苷(F3TDR)和溴乙烯尿苷(BVDU),疗效比碘苷好,毒性小。溴乙烯尿苷可口服或注射治疗疱疹病毒和带状疱疹全身感染。5-烷基-2′-脱氧尿苷:乙基脱氧尿苷(EDU)也有抗疱疹病毒作用,毒性小,但抗病毒活性低,临床局部用药治疗疱疹病毒角膜炎有一定疗效,未广泛应用。
☚ 抗病毒药   三氟胸苷 ☛
00005665
随便看

 

离鸟网收录3541549条中英文词条,其功能与新华字典、现代汉语词典、牛津高阶英汉词典等各类中英文词典类似,基本涵盖了全部常用中英文字词句的读音、释义及用法,是语言学习和写作的有利工具。

 

Copyright © 2004-2024 vtrois.com All Rights Reserved
更新时间:2026/5/27 22:43:46