网站首页  词典首页


请输入您要查询的字词:

 

字词 碳青霉烯类抗生素
类别 中英文字词句释义及详细解析
释义
碳青霉烯类抗生素

碳青霉烯类抗生素

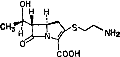
碳青霉烯类抗生素分子中含有碳青霉烯(carbapen-em)环。其发现、发展与分类见“β内酰胺类抗生素”条,本条简述临床应用试用的重要品种。
硫霉素(thienamycin) 是1974年从Str. cattleyaNRRL 3075发酵液中分离得到的第一个碳青霉烯。1978年完成了全合成。白色固体,易溶于水,难溶于甲醇,抗菌谱广,抗菌作用强,对革兰阳性与阴性细菌:如金黄色葡萄球菌、大肠杆菌、摩根变形杆菌,沙雷菌、绿脓杆菌等有很强活性,对带R因子的耐药菌也有效,但对脆性拟杆菌的作用较差。对β内酰胺酶稳定并具有强烈抑制作用,毒性低,主要缺点是在水溶液中极不稳定,难用于临床。

肾脱氢肽酶抑制剂


亚胺硫霉素(imipenem) 比硫霉素稳定,抗菌作用和硫霉素相似或稍强,对金黄色葡萄球菌,表皮葡萄球菌、肺炎球菌、肠球菌、大肠杆菌、肺炎杆菌、柠檬酸杆菌、变形杆菌、粘质沙雷菌、绿脓杆菌有很强活力。对脆性拟杆菌的最低抑菌浓度,优于头孢唑啉、头霉噻吩与丁胺卡那霉素,对绿脓杆菌的作用甚至超过氨基糖甙类抗生素。碳青霉烯易受肾脏脱氢肽酶Ⅰ (de hydropeptidase Ⅰ)分解,不但不能用于治疗尿路感染,而且分解产物还对肾脏有毒性。与肾脱氢肽酶抑制剂 (MK-D791)合用,可在肾与尿中维持较高的药物浓度,但不快的臭味仍影响应用。1982年以后发表了若干对肾脏脱氢肽酶比亚胺硫霉素稳定的碳青霉烯(表),其中CP591等的抗菌作用比亚胺硫霉素更强,是正在研究开发中的颇有希望的药物。

亚胺硫霉素与最近发表的碳青霉烯


〔引自横田健:日本临床42(3)537,1984〕
☚ β内酰胺类抗生素   单环β内酰胺类抗生素 ☛
00005595
随便看

 

离鸟网收录3541549条中英文词条,其功能与新华字典、现代汉语词典、牛津高阶英汉词典等各类中英文词典类似,基本涵盖了全部常用中英文字词句的读音、释义及用法,是语言学习和写作的有利工具。

 

Copyright © 2004-2024 vtrois.com All Rights Reserved
更新时间:2026/4/8 9:10:47