网站首页  词典首页


请输入您要查询的字词:

 

字词 磷糖脂
类别 中英文字词句释义及详细解析
释义
磷糖脂

磷糖脂

分子组成中,既含磷又含糖的脂类称为磷糖脂类。这类脂类的研究开展较晚,起先只认为存在于微生物界,但近来在动植物界中也陆续被发现。迄今已知道的有25种以上,从化学结构上可以将它们分成七种类型,其中五种属于甘油磷糖脂,二种为鞘氨醇磷糖脂。
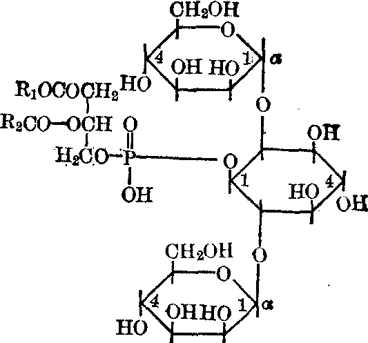
磷脂酰肌醇甘露糖苷类 这是最早被发现的一类微生物磷糖脂,其基本化学结构是磷脂酰肌醇,并在其肌醇部分再通过α糖苷键与甘露糖相结合。目前已发现有含1~6个甘露糖基的这类磷糖脂,通常第一个糖基结合于肌醇的2位,第二个糖基结合于肌醇的6位,第三、第四个均以α1→6糖苷键与第二和第三个甘露糖基相连结,第五个糖基以α1→2糖苷键连结在第四个糖基上,第六个糖则通过α1→2糖苷键结合在第一个甘露糖基上。



磷脂酰甘油氨基葡萄糖苷类 这类磷糖脂由磷脂酰甘油和氨基葡萄糖两个部分组成,但是两者之间的结合既可以有α1→2(如图),又可以有β1→2或β1→3几种不同方式,均出现于微生物界。
双磷脂酰甘油葡萄糖苷 这是一种以双磷脂酰甘油为基本结构,并在其甘油部分通过α1→2糖苷键与葡萄糖基相结合的磷糖脂。目前这类磷糖脂仅在链球菌中发现一种。
磷脂酰糖基甘油二酯类 由磷脂酸和糖基甘油二酯所组成,前者结合在糖基的6位上。但是可以因为糖基数目的多少以及磷脂酸所结合的部位不同,而存在多种化合物。主要分布于链球菌中。
甘油磷酸糖基甘油二酯类 这类的基本结构与磷脂酰甘油二酯一致,只是用甘油磷酸取代了磷脂酸部分,分布于微生物中。
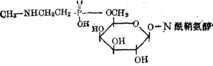
植物糖脂类 这类只存在于植物种子中,其基本结构是N-酰鞘氨醇磷脂肌醇,再结合以甘露糖基以及氨基葡萄糖酸基,通常在其氨基葡萄糖基上还可以结合着半乳糖、阿拉伯糖、岩藻糖等中性糖基。
氨基烷基磷酸脑苷脂类 是脑苷脂的磷酸衍生物,出现于多种软体动物、腔肠动物及原生动物中。
在磷糖脂的生物合成方面研究得较多的是磷脂肌醇甘露糖苷类和磷脂酰糖基甘油二酯类。磷脂酰肌醇可以作为糖基受体,从二磷酸胞苷甘露糖或二磷酸乌苷甘露糖接受糖基,而生成磷脂酰肌醇甘露糖苷类; 磷脂酰糖基甘油二酯及甘油磷酸糖基甘油二酯类的合成途径如下图。糖基甘油二酯被分为是磷脂酰基或甘油磷酰基的受体; 后两种酰基分别来自双磷脂酰甘油或磷脂酰甘油。
☚ 固醇   维生素 ☛
00000695
随便看

 

离鸟网收录3541549条中英文词条,其功能与新华字典、现代汉语词典、牛津高阶英汉词典等各类中英文词典类似,基本涵盖了全部常用中英文字词句的读音、释义及用法,是语言学习和写作的有利工具。

 

Copyright © 2004-2024 vtrois.com All Rights Reserved
更新时间:2026/4/9 1:36:42