网站首页  词典首页


请输入您要查询的字词:

 

字词 磷酸戊糖途径
类别 中英文字词句释义及详细解析
释义

磷酸戊糖途径pentose phosphate pathway,PPP

以磷酸戊糖为主要中间产物的己糖生物氧化过程,亦称磷酸己糖支路。是生物体除糖酵解—三羧酸循环外的另一条糖类需氧降解途径。通过磷酸戊糖途径,由葡萄糖磷酸化生成的葡糖-6-磷酸完全降解为二氧化碳,同时将氧化态烟酰胺腺嘌呤二核苷酸磷酸(NADP)还原为还原态烟酰胺腺嘌呤二核苷酸磷酸(NADPH)。该途径在细胞溶质中进行,若干中间产物亦是卡尔文循环的成员。
化学历程 磷酸戊糖途径由氧化阶段和非氧化阶段组成。磷酸戊糖途径的第一步是葡糖-6-磷酸经葡糖-6-磷酸脱氢酶的催化氧化为6-磷酸- D-葡糖酸-δ-内酯,同时产生一分子NADPH。6-磷酸-D-葡糖酸-δ-内酯可自动水解或经内酯酶催化转变为6-磷酸-葡糖酸。6-磷酸-葡糖酸再在磷酸葡糖酸脱氢酶的催化下脱氢、脱羧,产生一分子D-核酮糖-5-磷酸、一分子NADPH和一分子CO2。以上为磷酸戊糖途径的氧化阶段,其总反应为:
葡糖-6-磷酸+2NADP++H2O→
D-核酮糖-5-磷酸+CO2+2NADPH+2H+
从核酮糖-5-磷酸开始,进入磷酸戊糖途径的非氧化阶段。转酮酶从木酮糖-5-磷酸携带一个羟基乙醛基转移至核糖-5-磷酸上形成一分子景天庚酮糖-7-磷酸和一分子甘油醛-3-磷酸。经过转醛酶的催化使上述七碳糖和三碳糖转变成一分子六碳糖和一分子四碳糖。在磷酸戊糖途径的非氧化阶段中,通过转酮酶和转醛酶的作用以及糖酵解途径中某些酶的作用,三、四、五、六、七碳糖进行相互转化。总反应为:
3D-核酮糖-5-磷酸→甘油醛-3-磷酸
+2果糖-6-磷酸
因此,磷酸戊糖途径是6分子的葡糖-6-磷酸先被氧化成6分子核酮糖-5-磷酸和6分子CO2。而6分子的核酮糖-5-磷酸又转变成5分子葡糖-6-磷酸。整个反应可用下式表示:
6葡糖-6-磷酸+12NADP+→5葡糖-6-磷酸
+6CO2 + 12NADPH+ 12H++Pi,净结果为:
6葡糖-6-磷酸+12NADP+→6CO2+12NADPH+12H++Pi
即通过磷酸戊糖途径可使葡糖-6-磷酸完全氧化为CO2
非氧化阶段的新进展 上述的非氧化阶段模式,自霍雷克(Horecker)于1954年提出后,已被普遍接受。但这个模式与某些同位素示踪试验结果不一致,亦为人所共知。1978年威廉斯等(J.F.Williams) 提出了一个新的非氧化阶段模式(见图)。他们用鼠肝提取物为试验材料,发现了磷酸戊糖途径的另外五种中间产物,即D-甘露庚酮糖-7-磷酸,D-阿卓庚酮糖-1,7-二磷酸,D-甘油-D-艾杜辛酮糖-1,8-二磷酸,D-甘油-D-阿卓-辛酮糖-1,8-二磷酸和D-阿拉伯糖。并鉴定出能催化D-阿拉伯糖-5-磷酸与D-核糖-5-磷酸互变的一种新酶磷酸阿拉伯糖-2-表异构酶。与老模式相比,新模式无转醛醇酶而需要更高的醛缩酶活性。新模式在植物中的意义尚缺少评价,但是植物光合碳同化中的吉伯氏效应(14C在磷酸葡糖和淀粉的葡糖分子中的不对称标记)可用新模式进行解释。完全接受新模式虽然还需更多的证据,但将非氧化阶段看作是转变3分子磷酸戊糖为一分子磷酸丙糖和2分子磷酸己糖的一个固定机制显然是不正确的。非氧化阶段存在一个有多种可能的反应网络,可因组织或组织生理状态的不同而变化其反应重点。


磷酸戊糖途径非氧化阶段的新模式


A. 磷酸核酮糖3-表异构酶 (磷酸木酮糖3-表异构酶)B. 磷酸核糖异构酶; C. 转酮酶; D. 磷酸阿拉伯糖2表异构酶; E. 二磷酸果糖醛缩酶;F. 磷酸丙糖异构酶G. 一种转磷酸酶; P. 磷酸


调控和生理意义 已知磷酸戊糖途径和糖酵解均在细胞质中进行,葡糖-6-磷酸循什么途径进行降解,除取决于各种酶类的浓度和活性的大小外,还受细胞中烟酰胺腺嘌呤二核苷酸(NAD) 和NADP之比的控制。因为糖酵解——三羧酸循环需要NAD,而磷酸戊糖途径必须利用NADP。如果NADP的浓度大于NAD的浓度,则磷酸戊糖途径占主要地位。反之则以糖酵解——三羧酸循环为主。影响NAD与NADP浓度比的因素很多,如氧浓度高时,NADH被线粒体氧化的速度较快,而NADPH被细胞色素系统氧化的速度较慢,因此不利于磷酸戊糖途径。再如,某些需要消耗NADPH的合成反应的增强,会使NADH浓度提高,从而有利于磷酸戊糖途径。
磷酸戊糖途径的生理意义主要有下列四方面: ❶产生的NADPH是许多生物合成反应中的专一性电子供体。如脂肪酸和甾醇的合成必须供以NADPH。
❷某些中间产物是重要的生物合成原料。如核酮糖-5-磷酸是合成核酸的原料;赤藓糖-4-磷酸是合成木质素和其他芳香族化合物,如酚类等与植物抗病性有关的一些物质的原料。
❸NADPH通过转氢酶系统或NADPH-细胞色素C还原酶的作用可以重新氧化产生能量。虽然磷酸戊糖途径运转的主要目的不是产生能量。
❹与植物的抗病性有关。已知许多抗病物质属于酚类化合物,这些物质的合成需要磷酸戊糖途径的中间产物赤藓糖-4-磷酸为原料。此外,与抗病性有关的酚氧化酶及抗坏血酸氧化酶与磷酸戊糖途径产生的NADPH有关。植物罹病后磷酸戊糖途径明显增强。

磷酸戊糖途径pentose phosphate pathway,PPP

又称磷酸己糖途径(HMP)、葡萄糖直接氧化途径。以磷酸戊糖为主要中间产物的己糖有氧氧化过程。生物体内另一条糖类需氧降解途径。在细胞质中进行。由氧化和非氧化两个阶段组成。氧化阶段起始物为葡萄糖-6-磷酸,经脱氢、脱羧,生成磷酸戊糖。非氧化阶段是由核酮糖-5-磷酸经转酮和转醛作用,重新生成葡萄糖-6-磷酸,形成一个环式反应体系。总反应式为:

葡萄糖-6-磷酸+12NADP+→6CO2+12NADPH+12H++Pi

主要受NADPH反馈调节。其生理意义:
❶其中间产物是其他重要生物物质合成原料;
❷生成的NADPH是脂肪酸、甾醇等物质合成所必需的专一性电子供体,也用于合成ATP;
❸与植物抗病和愈合创伤有关。

磷酸戊糖(PPP)途径

磷酸戊糖途径phosphopentose pathway

又叫磷酸葡萄糖旁路,系糖代谢途径之一。6-磷酸葡萄糖先转变成磷酸戊糖,在辅酶Ⅱ的作用下演变成3碳、4碳、5碳、6碳、7碳的磷酸单糖,最后部分被水解利用,产生二氧化碳、水,亦有部分再重新合成己糖。许多组织细胞液中均存在此种糖代谢途径。

磷酸戊糖途径

又称“磷酸己糖代谢支路”。糖分解代谢的重要途径之一。6个6-磷酸葡萄糖首先氧化脱羧转变成磷酸戊糖,经过一系列转换反应,最终重新组成5分子6-磷酸葡萄糖。1分子6-磷酸葡萄糖被分解利用产生6分子二氧化碳和12分子还原型的三磷酸吡啶核苷酸。后者供生物合成利用。其中间产物是生物合成核苷酸和核酸的重要原料。此途径可与有氧分解和无氧酵解相联系,也可将戊糖代谢与己糖代谢相联系,还可作为其他生物物质的合成原料。

磷酸戊糖途径phosphopentose pathway

亦称磷酸葡萄糖途径或一磷酸己糖旁路。该途径能使6分子磷酸葡萄糖之一经代谢氧化成6H2o和6Co2,代谢中间产物有三碳糖、四碳糖、五碳糖、六碳糖和七碳糖等,并产生辅酶Ⅱ。

磷酸戊糖途径

磷酸戊糖途径

磷酸戊糖途径又称磷酸葡萄糖酸氧化途径,是葡萄糖在动物组织中降解代谢的另一条重要途径,也是一个循环机构。此循环机构的化学步骤可以分为两个阶段:
❶磷酸己糖氧化降解,裂解出一分子CO2和生成二分子NADPH,转变为磷酸戊糖;
❷磷酸戊糖重排,转变为磷酸己糖。催化各步,反应的酶存在于细胞浆中。磷酸戊糖途径有两个重要作用,即生成NADPH及磷酸戊糖。
磷酸己糖转变为磷酸戊糖 己糖转变为戊糖是通过如下连续反应实现的:
(1) 6磷酸葡萄糖转变为6磷酸葡萄糖酸: 这是葡萄糖的磷酸戊糖途径的第一步,由6磷酸葡萄糖脱氢酶催化,以NADP+为辅酶。


反应生成的产物是磷酸葡萄糖酸,但首先生成6磷酸葡萄糖酸内酯,此化合物不稳定,容易自发地水解成6磷酸葡萄糖酸。细胞内有特异性内酯酶,确保内酯迅速水解。
反应平衡偏向右侧,因此,6磷酸葡萄糖氧化为6磷酸葡萄糖酸总的反应是不可逆的。
(2) 6磷酸葡萄糖酸转变为5磷酸核酮糖: 在磷酸葡萄糖酸脱氢酶催化下,6磷酸葡萄糖酸裂解出一分子CO2,转变为5磷酸核酮糖。此反应包括氧化作用和脱羧作用,在脱羧之前可能先生成中间产物3酮6磷酸葡萄糖酸,但此中间产物还没有分离出来,故尚无直接证据。6磷酸葡萄糖酸脱氢酶分布很广,它的辅酶也是NADP+。此酶的催化活性需要Mn2+离子,反应是不可逆的。


一分子6磷酸葡萄糖经过这一系列反应,转变为一分子5磷酸核酮糖及一分子CO2,同时生成二分子NADPH。5磷酸核酮糖在异构酶作用下容易转变为5磷酸核糖; 在差向酶作用下容易转变为5磷酸木酮糖。


5磷酸核酮糖在差向酶催化下C3的表异构化,其机制可能是通过2:3烯二醇的过渡形式。
磷酸戊糖重排,转变为磷酸己糖 这一阶段的反应是在几个磷酸戊糖分子之间进行,通过基团的转移和重排作用 磷酸戊糖转变为磷酸己糖。各步反应是可逆的。其中有三个主要的反应:
❶转酮醇作用,
❷转醛醇作用,
❸磷酸丙糖的缩合作用。由于这些作用,磷酸戊糖途径中有3C、4C、5C、6C及7C磷酸糖的生成。


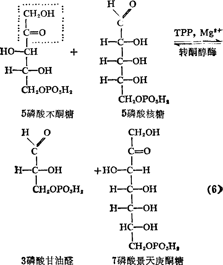
(1) 转酮醇作用: 转酮醇作用是在两个磷酸戊糖分子(一个酮糖和一个醛糖) 之间进行,乙酮醇基 (—CO—CH2OH)从戊酮糖分子转移到戊醛糖分子上,反应产物是一分子3磷酸甘油醛及一分子7磷酸景天庚酮糖。转酮醇酶催化此反应。
转酮醇酶是由两个相同的亚基组成,以硫胺素焦磷酸(TPP)为辅酶,需要Mg 2+离子。TPP在转移酮醇基中的作用与在丙酮酸的氧化脱羧中形成“活性乙醛”相同的化合物,反应机制也相同。TPP与乙酮醇基起反应,生成产物醛,而乙酮醇基则结合在TPP上,生成α,β二羟乙基硫胺素焦磷酸:


乙酮醇基与TPP生成的加成产物(Ⅱ)能与5磷酸核糖(受体醛糖) 起反应,生成7磷酸景天庚酮糖 (产物),TPP再释放出来:
(2) 转醛醇作用: 转醛醇酶能催化一个磷酸酮糖的1,2,3,碳原子转移到一个磷酸醛糖的第一碳上,例如催化二羟丙酮基(—CHOH—CO—CH2OH)从7磷酸景天庚酮糖分子转移到3磷酸甘油醛分子上,生成6磷酸果糖及4磷酸赤藓糖。


转醛醇酶催化反应的机制与糖酵解中醛缩酶的作用相似,反应基本上也相同,但转醛醇酶不能用自由的二羟丙酮或其磷酸化合物作为作用物。
反应(7)生成的4磷酸赤藓糖能从5磷酸木酮糖接受一个乙酮醇基,生成6磷酸果糖及3磷酸甘油醛,此反应是转酮醇酶催化的。


(3)磷酸丙糖的缩合: 以上所有酶及中间产物都是磷酸戊糖途径所特有的。然而这条途径还需要糖酵解中的四个酶,即磷酸丙糖异构酶、醛缩酶、二磷酸果糖磷酸酶及磷酸己糖异构酶。这些酶都是糖酵解逆反应中参与由丙糖正常地形成己糖过程中的酶。
通过这些酶的作用,可将磷酸戊糖转变为磷酸己糖。下图表示以6分子磷酸戊糖为起始物,分成三组,其中两组先进行转酮醇作用,随后进行转醛醇作用,生成2分子磷酸己糖和2分子磷酸赤藓糖。然后,磷酸赤藓糖与余下的2分子磷酸戊糖进行转酮醇作用,生成2分子磷酸己糖和2分子磷酸甘油醛。2分子磷酸甘油醛在磷酸丙糖异构酶及醛缩酶作用下,生成1分子二磷酸果糖,后者被1、6二磷酸果糖磷酸酶催化水解,变为6磷酸果糖。整个反应过程是6分子磷酸戊糖转变为5分子磷酸己糖。

转酮醇作用和转醛醇作用总图


磷酸戊糖途径的生理意义 磷酸戊糖途径分为两个阶段,第一阶段是磷酸己糖转变为磷酸戊糖,是氧化反应;第二阶段是磷酸戊糖转变为磷酸己糖,是非氧化反应。两个阶段的反应是连接进行的。反应开始时,6分子6磷酸葡萄糖被氧化,12分子NADP+被还原为NADPH+H+,生成6分子磷酸戊糖及6分子CO2。然后6分子磷酸戊糖再转变为5分子磷酸己糖。其后,这5分子磷酸己糖与另一分子新的磷酸己糖一起,再次参加循环反应见下图。
总的反应结果是一分子葡萄糖 (以磷酸己糖的形式)完全氧化:
磷酸己糖+12NADP+→6CO2+12NADPH+12H++Pi

磷酸戊糖途径的循环反应略图

如果生成的NADPH+H+能够通过呼吸链氧化,产生的能量约与糖的有氧氧化相接近。但是,在哺乳动物的骨胳肌中葡萄糖的分解代谢没有直接通过磷酸戊糖途径的氧化,而完全是通过糖酵解和三羧酸循环。在肝脏,约有35%或更多的CO2是从磷酸戊糖途径而来的; 在乳腺、睾丸、脂肪组织、白细胞及肾上腺中有更多的葡萄糖分解代谢是通过磷酸戊糖途径的。因此,在哺乳动物组织内,磷酸戊糖途径的主要功能不是供给机体所需要的能量,而更加重要的作用是生成NADPH及磷酸核糖。
(1) NADPH的生成及其功能: 磷酸戊糖途径中的两种脱氢酶,即6磷酸葡萄糖脱氢酶及6磷酸葡萄糖酸脱氢酶,都是以NADP+为辅酶的。NADP+还原后成为NADPH,具有多种生理功能。NADPH的主要功能有三:
❶参与某些依赖NADPH的生物合成反应,作为供氢体。例如脂肪酸、胆固醇及类固醇的生物合成都需要大量NADPH,所以在合成脂类及类固醇比较旺盛的脂肪组织、哺乳期的乳腺、肾上腺皮质及睾丸等组织中,磷酸戊糖途径进行得比较活跃。
❷NADPH是谷胱甘肽还原酶的辅酶,对于维持细胞中还原型谷胱甘肽(GSH)的正常含量有重要作用,而GSH又能保护某些巯基(—SH) 酶的活性:
GSSG+NADPH+H+⇌2GSH+NADP+对维持红细胞的完整性也相当重要,在遗传性6磷酸葡萄糖脱氢酶缺乏症,磷酸戊糖途径不能正常进行,NADPH缺乏,GSH含量低下,病人红细胞很易被破坏而发生溶血性贫血和溶血性黄疸。
❸肝脏等与解毒有密切关系的器官,其内质网中含有以NADPH为供氢体的加单氧酶体系,除与类固醇的代谢 (如微粒体上胆汁酸合成过程中的羟化反应)有密切关系外,还参与药物和毒物的生物转化过程。
(2) 磷酸核糖的生成: 磷酸戊糖途径是机体利用葡萄糖生成5磷酸核糖的唯一代谢途径,在氧化阶段有5磷酸核糖生成,在非氧化的第二阶段也能生成5磷酸核糖。5磷酸核糖参与各种核苷酸辅酶及核苷酸的合成,是合成核酸的原料,由于核酸参与蛋白质的合成,因此,凡是损伤后修补再生作用强烈的组织,例如梗塞后的心肌,肝部分切除后残存肝脏的再生时,此途径往往进行得比较活跃。
磷酸戊糖途径的调节 在组织细胞中,磷酸戊糖途径主要是受NADPH与NADP+浓度比率的调节。对6磷酸葡萄糖脱氢酶的研究表明,NADPH是NADP+的竞争性抑制剂,当NADPH与NADP+的浓度比率大于10时,抑制程度达90%以上。鼠肝6磷酸葡萄糖酸脱氢酶亦被NADPH抑制(Ki=2×10-5mol/L),它的KmNADP+是1.5×10-5mol/L,所以在正常鼠肝的NADP+浓度下,此酶几乎完全被抑制,只有当NADPH被某些生物合成反应(例如脂脂酸合成)耗用时,酶活性才能解放。
☚ 糖有氧氧化   2,3二磷酸甘油酸支路 ☛
00000678
随便看

 

离鸟网收录3541549条中英文词条,其功能与新华字典、现代汉语词典、牛津高阶英汉词典等各类中英文词典类似,基本涵盖了全部常用中英文字词句的读音、释义及用法,是语言学习和写作的有利工具。

 

Copyright © 2004-2024 vtrois.com All Rights Reserved
更新时间:2026/4/9 14:27:42