网站首页  词典首页


请输入您要查询的字词:

 

字词 福美双
类别 中英文字词句释义及详细解析
释义

福美双thiram

一种广谱保护性的福美系杀菌剂。商品名Chipco Thiram-75、Fernasan、Nomer-san、Polyram-Ultra、Pomarsol Forte。化学结构式:

原为橡胶硫化促进剂1931年由美国杜邦公司推广用作杀菌剂。
性能 纯品为白色无味结晶,熔点 146 ℃,密度d2041.29,室温时蒸气压可忽略不计。室温下溶解度:水中30毫克/升,乙醇中<10克/升,丙酮中80克/升,氯仿中230克/升。长期暴露在空气中,或遇高温,潮湿会渐渐失效。遇酸易分解。大鼠急性经口LD50 780~865毫克/千克,小鼠急性经口LD501500~2000毫克/千克。对鱼有毒。对人皮肤和粘膜有刺激性。高剂量饲喂母鸡,可使产蛋量急骤下降。对葡萄孢菌(Botrytis spp.)、黑星病菌(Venturiaspp.)、葡萄座腔菌(Botryosphaeria spp.)、疫霉菌(Phytophthora spp.)、小丛壳菌(Glomerella spp.)、根霉菌(Rhizopus spp.)、丝核菌(Rhizoctoniaspp.)、腥黑粉菌(Tilletiaspp.)、黑粉菌(Ustilago spp.)等都有活性。高剂量对田间老鼠有一定驱避作用。
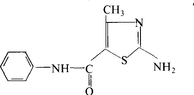
应用 用作种子处理,土壤处理或喷雾。按剂量0.125%(有效成分)拌种,防治甘蓝、莴苣、瓜类、茄子、蚕豆等苗期立枯病、猝倒病;按0.15~0.25%剂量(有效成分)拌种,防治稻苗立枯病、禾谷类黑腥病、松苗立枯病;0.4%剂量(有效成分)拌种,防治豌豆等立枯病。按每公顷用有效成分3750~5625克处理土壤(沟施或穴施),防治蔬菜、烟草、甜菜苗期病害。50%福美双可湿性粉剂对水500~800倍液喷雾,防治草莓等灰霉病,梨黑星病,马铃薯番茄晚疫病,瓜、菜类霜霉病、葡萄炭疽病、白腐病等。商品已有多种复配制剂生产,如RTU-1010 seed protectant(与萎锈灵复配),Bromosan-F(与硫菌灵复配),Carbina TZ(与代森锌复配),Triquintan(与五氯硝基苯复配),Arasan 70-S(与甲氧滴滴涕复配),三福美(Tuzet,40%福美双、20%福美锌、20%福美甲胂),Monget(1.2%福美双、0.6%福美甲胺、0.6%福美锌)等。复配剂拌种双在中国已经商品化,是一种良好的代替汞制剂的拌种剂。40%拌种双可湿性粉剂含20%福美双和20%拌种灵。其中的拌种灵为内吸性杀菌剂,其化学结构式:

其性状:纯品为白色粉状,熔点222~224℃,分解温度为270~285℃。不溶于水,在一般有机溶剂中溶解度小,易溶于二甲基甲酰胺。与酸生成盐,对碱较稳定。急性经口LD50:雄大鼠820毫克/千克,雌大鼠817.9毫克/千克,雄小鼠392毫克/千克,雌小鼠564毫克/千克。大鼠急性经皮LD50>3200毫克/千克。无明显蓄积作用。对大小鼠试验也未见致畸作用。两种药复配后,不仅毒性降低,而且防治病害的效果好于单一使用拌种灵或福美双,对作物的安全性比拌种灵高。40%拌种双可湿性粉剂急性经口LD50,雄大鼠3830毫克/千克,雌大鼠3160毫克/千克,每100千克种子用拌种双有效成分40~80克拌种防治小麦黑穗病;用有效成分120~200克拌种,防治高粱黑穗病;用有效成分200克拌种,防治棉花苗期病害;用2500毫克/升药液拌种,防治红麻炭疽病。

福美双thiram

有机硫杀菌剂。化学名称:四甲基二硫代双甲硫羰酰胺。化学结构式如下。白色结晶,有特殊臭味,溶于苯、丙酮、氯仿和二硫化碳等,微溶于乙醇和乙醚中,不溶于水。遇酸易分解,在空气中稳定,工业上作橡胶硫化促进剂,也可作润滑油添加剂,1931年由美国杜邦公司发现其杀菌活性,继而开发为农用广谱性保护杀菌剂。可作种子、土壤处理,亦可用于叶面喷洒、防治多种作物病害,如麦类黑穗病、条纹病、幼苗立枯病、炭疽病、霜霉病、叶斑病等,既可单独使用,也可与其他杀菌剂混配制成混剂,如退菌特(福美锌、福美双与福美甲胂)、拌种双(拌种灵、福美双)。大白鼠口服LD50为780 mg/kg,对人畜低毒,但对皮肤黏膜有刺激作用,对植物安全,有时对幼苗还有刺激生长作用。

随便看

 

离鸟网收录3541549条中英文词条,其功能与新华字典、现代汉语词典、牛津高阶英汉词典等各类中英文词典类似,基本涵盖了全部常用中英文字词句的读音、释义及用法,是语言学习和写作的有利工具。

 

Copyright © 2004-2024 vtrois.com All Rights Reserved
更新时间:2026/4/7 15:35:29