网站首页  词典首页


请输入您要查询的字词:

 

字词 离子交换树脂
类别 中英文字词句释义及详细解析
释义
离子交换树脂

离子交换树脂lizi jiaohuan shuzhi

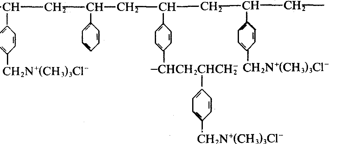
通常是指能与溶液中的正、负离子进行交换的功能高分子,分为阴离子、阳离子交换树脂两类。常见的阴离子交换树脂是季铵型强碱性树脂,是以苯乙烯和二乙烯苯共聚,经氯甲基化反应及胺化反应制得,其结构式为


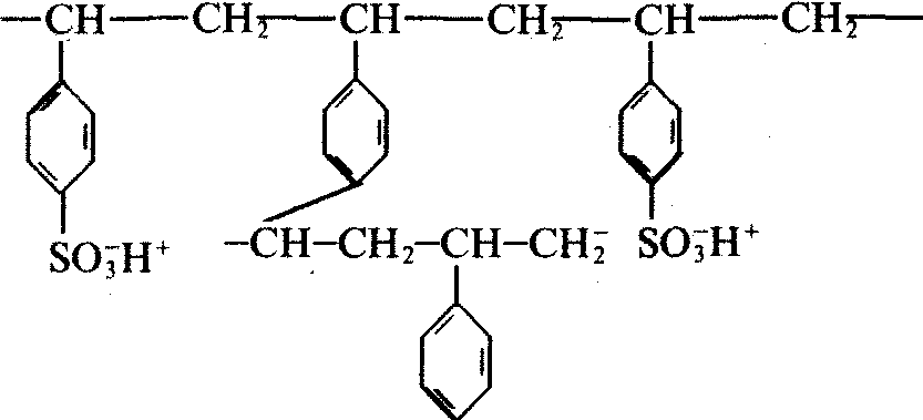
常见的阳离子交换树脂是苯乙烯磺酸型树脂,是以苯乙烯和二乙烯苯共聚,经磺化反应制得,其结构式为


它们具有不溶于酸、碱及有机溶剂,对一般氧化和还原剂较稳定等特点。用于金属离子的分离,试剂、药物的提纯,工业用水的软化,纯水及超纯水的制备(参见“纯水制备”)等。
近年来,出现了具有特殊选择功能的离子交换树脂,主要有吸附树脂,是以吸附功能为特征的树脂;螯合树脂,是以交联聚合物为骨架连接有特殊功能基的树脂; 氧化还原树脂,又称电子交换树脂,能与活性物质进行电子交换,发生氧化还一原反应。
☚ 酚醛树脂   天然橡胶 ☛

离子交换树脂ion exchange resin

系多元酸或多元碱的高分子聚合物。其结构为网状立体,不溶于水和多数有机溶剂,可分阳离子交换树脂与阴离子交换树脂2类。其功能有交换阴、阳离子的作用:金属离子或带阳离子的基因可被阳离子交换树脂交换,并释放出H+离子;非金属离子及其他阴离子基团被阴离子交换释放出OH-离子。离子交换树脂可用于制取纯水等。久用可发生老化,应定期处理。

离子交换树脂

含有可交换的离子官能团的合成树脂。一般为圆球状或颗粒状固体。含有酸性基团(如磺酸基)时,其阳离子可与水溶液中的阳离子交换,称为“阳离子交换树脂”;分子中含有碱性基团(如氨基)的,称“阴离子交换树脂”。发生离子交换后逐渐失去效力,可经过处理而恢复。广泛应用于水的净化、元素分离提纯等方面。

离子交换树脂

含有交换功能团的有机变聚物。

离子交换树脂

ion exchange resin

随便看

 

离鸟网收录3541549条中英文词条,其功能与新华字典、现代汉语词典、牛津高阶英汉词典等各类中英文词典类似,基本涵盖了全部常用中英文字词句的读音、释义及用法,是语言学习和写作的有利工具。

 

Copyright © 2004-2024 vtrois.com All Rights Reserved
更新时间:2026/4/7 14:08:11