| 释义 |
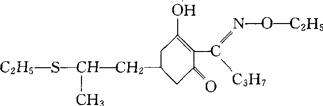
稀禾定sethoxydim又称拿捕净、乙草丁、硫乙草灭。内吸、选择性苗后除草剂。化学名称:2-〔1-(乙氧胺基)丁基〕-5-〔2-(乙硫基)丙基〕-3-羟基-2-环乙烯-1-酮。化学结构式如下。纯品为无色、无臭油状液体,沸点>90℃(533×10-5 Pa),20℃时蒸气压<133.322×10-6Pa。pH4时几乎不溶于水,pH7时微溶于水,可溶于甲醇、乙烷、醋酸乙酯、甲苯、二甲苯、正己烷、橄榄油等有机溶剂。可通过杂草的茎、叶吸收,并传导到生长点和节间分生组织,抑制细胞分裂,使杂草死亡。药剂在土壤中很快分解失效。适宜于大豆、棉花、花生、油菜、甜菜、烟、麻、蔬菜等阔叶作物及果、桑、茶园、苗圃等使用,防除一年生或多年生禾本科杂草,稗草、看麦娘、马唐、狗尾草、牛筋草、野燕麦、狗牙根、芦苇、白茅、冰草等。对人、畜、鱼低毒。大鼠急性口服LD50为3 200~3 500 mg/kg,急性经皮LD50>5 000 mg/kg。 
|