例题
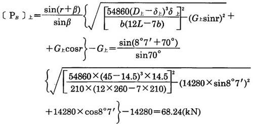
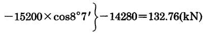
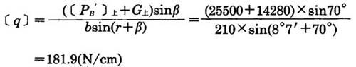
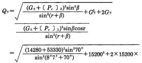
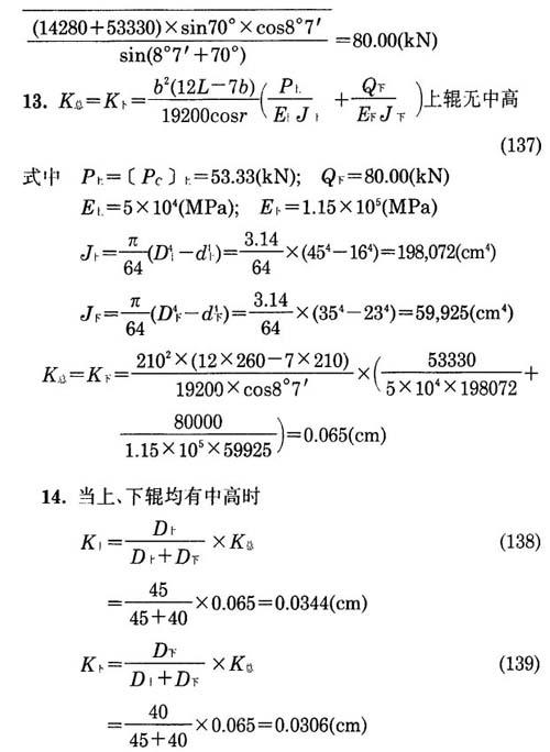
有一道偏距为60mm的双辊压榨,其上辊倾斜加压,杠杆倾斜角β为70°(见图11-9-12)。上辊为花岗石,辊内未浇灌水泥。下辊为铸铁挂胶。两辊的轴颈材料为45号钢,辊面宽b为2100,轴承心距L为2600。上辊从轴承中心到辊轴螺纹外端的距离X为170。上辊带轴承的重力为14280N。下辊自身重力为15200N。上辊外径D上为450,内径d上为160,轴颈直径ds上为120,轴上螺纹内径d0为127.15。下辊外径D下为400,内径d下为230,铸铁芯外径为350,壁厚δ下为60,轴颈直径ds下为175。试验算上辊的许用附加外力〔P〕和〔P′〕,以及两辊间的许用线压力〔q〕。并求在此线压下的下辊中高K下(上辊无中高)。若两辊均有中高求K上和K下。(题中长度单位均为mm)。 解:(算式中的长度均用厘米计)  由于50.88(kN)在以上三力中最小,故取〔QD〕上=50.88(kN)。 5.求〔PD〕上时应将花岗石辊的〔QD〕上值代入式(95)中,换出表达铸铁加压辊的 一项。  6.求〔PB〕上时应将花岗石辊的〔QB〕表达式(81)即 代人式(97)中,换出表达铸铁加压辊的 一项。  7.求〔Pc〕上时应将花岗石辊的〔Qc〕表达式(82)即 代入式(99)中,换出表达铸铁加压辊的 一项。    按以上计算,应选用考虑下辊刚度时的上辊许用附加外力〔 〕上=25.50kN,因为它的数值最小。但据下面的计算,当上辊加压至25.50kN时,相应的线压力q仅为181.9N/cm。此值较小且低于毛毯压榨的线压。如满足不了工艺要求,宜提高附加外力到〔PC〕上=53.33kN,相应的线压也就提高到309.2N/cm。此值在普通压榨棍的线压范围内,可以采用。提高附加外力后,从上面计算可知上、下压辊的强度、轴颈应力均无问题。至于下辊刚度较差,可用加大中高的办法来解决,否则只好另换直径较大的下辊。 11.求两辊间的许用线压力〔q〕时,可将式(59)中的P上换成〔 〕上则式中的q即为〔q〕。  此值较小,现用〔PC〕上=53.33(kN)代替〔 〕上,则得  12.求下辊的实际总载荷Q下时,应将式(58)中的P上换成〔PC〕上=53.33kN,则得   |