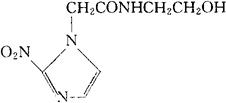
依他硝唑
C7H10N4O4=214.18 CAS-22668-01-5 N-(2-羟乙基)-2-硝基-1H-咪唑-1-乙酰胺。 N-(2-Hydroxyethyl)-2-nitro-1H-imidazole-1-acetamide. N-(2-羟基乙基)-2-硝基咪唑-1-乙酰胺。 N-(2-Hydroxyethyl)-2-nitroimidazole-1-acetamide. 抗寄生虫药,放射激活剂。 用于辅助放射治疗。 Etanidazole,SR 2508,NSC-301467. INN,USAN.  |