网站首页  词典首页


请输入您要查询的字词:

 

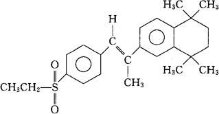
字词 依他罗坦
类别 中英文字词句释义及详细解析
释义 依他罗坦

C25H32O2S=396.59

CAS-87719-32-2

(E)-6-[2-[4-(乙基磺酰)苯基]-1-甲基乙烯基]-1,2,3,4-四氢-1,1,4,4-四甲基萘。

(E)-6-[2--4-(Ethylsulfonyl)phenyl]-1-methylethenyl]-1,2,3,4-tetrahydro-1,1,4,4-tetramethyl,naphalene.

6-[(E)-对-(乙基磺酰)-α-甲基苯乙烯基]-1,2,3,4-四氢萘。

6-[(E)-p-(Ethylsulfonyl)-α-methylstyryl]-1,2,3,4-tetrahydronaphthalene.

角质溶解药。

Etarotene,Ro 15-1570/000.

INN,USAN.

随便看

 

离鸟网收录3541549条中英文词条,其功能与新华字典、现代汉语词典、牛津高阶英汉词典等各类中英文词典类似,基本涵盖了全部常用中英文字词句的读音、释义及用法,是语言学习和写作的有利工具。

 

Copyright © 2004-2024 vtrois.com All Rights Reserved
更新时间:2026/4/7 10:49:29