网站首页  词典首页


请输入您要查询的字词:

 

字词 依他雌醇
类别 中英文字词句释义及详细解析
释义 依他雌醇

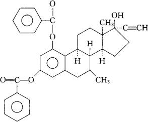
C35H34O5=534.65

CAS-73764-72-4

7α-甲基-19-去甲-17α-孕甾-1,3,5(10)-三烯-20-炔1,3,17-三醇1,3-二苯甲酸盐。

7α-Methyl-19-nor-17α-pregna-1,3,5(10)-trien-20-yne-1,3,17-triol 1,3-dibenzoate.

雌激素类药。

Etamestrol,Eptamestrol,ZK 77992.

INN,USAN.

随便看

 

离鸟网收录3541549条中英文词条,其功能与新华字典、现代汉语词典、牛津高阶英汉词典等各类中英文词典类似,基本涵盖了全部常用中英文字词句的读音、释义及用法,是语言学习和写作的有利工具。

 

Copyright © 2004-2024 vtrois.com All Rights Reserved
更新时间:2026/5/31 17:01:13