依凡达明
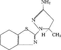
C11H16N4S=236.33 CAS-100035-75-4 (±)-2-(3-氨基-5-甲基-2-吡唑啉-1-基)-4,5,6,7-四氢苯并噻唑。 (±)-2-(3-Amino-5-methyl-2-pyrazolin-1-yl)-4,5,6,7-tetrahydrobenzothiazole. 4,5-二氢-5-甲基-1-(4,5,6,7-四氢-2-苯并噻唑基)-1H-吡唑-3-胺。 4,5-Dihydro-5-methyl-1-(4,5,6,7-tetrahydro-2-benzothiazolyl)-1H-pyrazol-3-amine. 消炎镇痛药。 Evandamine. INN,USAN.  |