网站首页  词典首页


请输入您要查询的字词:

 

字词 空走距离
类别 中英文字词句释义及详细解析
释义
空走距离

空走距离idling stopping distance

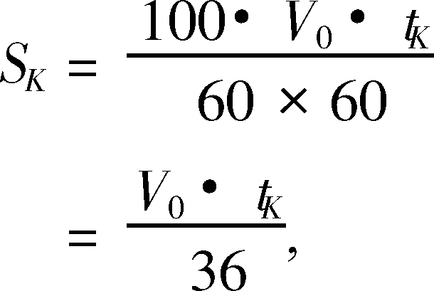
从司机将制动阀手柄置于制动位时起,到假定全列车的所有闸瓦都在某一瞬间同时压上车轮并且闸瓦压力就在此时从零骤然增到最大值的这一瞬间为止,列车在这一过程中未受到制动力的作用而依靠惯性走过的距离。为计算方便,常假定在空走时间内列车运行速度不变,并等于开始制动时的初速;在上、下坡道上运行时对速度的影响采用修正空走时间数值的办法来解决,这样,空走距离可按下式计算:

式中:SK——空走距离(m);
V0——制动初速度(km/h);
tK——空走时间(s)。
☚ 空走时间   制动限速 ☛
00000824
随便看

 

离鸟网收录3541549条中英文词条,其功能与新华字典、现代汉语词典、牛津高阶英汉词典等各类中英文词典类似,基本涵盖了全部常用中英文字词句的读音、释义及用法,是语言学习和写作的有利工具。

 

Copyright © 2004-2024 vtrois.com All Rights Reserved
更新时间:2026/4/9 0:09:46