网站首页  词典首页


请输入您要查询的字词:

 

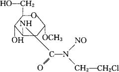
字词 依可莫司汀
类别 中英文字词句释义及详细解析
释义 依可莫司汀

C10H18ClN3O6=311.72

CAS-98383-18-7

甲基-3-[3-(2-氯乙基)-3-亚硝基脲基]-2,3-二脱氧-α-D-阿拉伯-己呋喃糖苷。

Methyl-3-[3-(2-chloroethyl)-3-nitrosoureido]-2,3-dideoxy-α-D-arabino-hexapyranoside.

抗肿瘤药。

Ecomustine.

INN,USAN.

随便看

 

离鸟网收录3541549条中英文词条,其功能与新华字典、现代汉语词典、牛津高阶英汉词典等各类中英文词典类似,基本涵盖了全部常用中英文字词句的读音、释义及用法,是语言学习和写作的有利工具。

 

Copyright © 2004-2024 vtrois.com All Rights Reserved
更新时间:2026/4/6 15:28:17