网站首页  词典首页


请输入您要查询的字词:

 

字词 空间两直线间的距离
类别 中英文字词句释义及详细解析
释义
空间两直线间的距离

空间两直线间的距离kongjia n liangzhixian jian de juli

设直线l: P=P0+tS及l外一点A,则由点A到直线l的距离是 设P0={x0,y0,z0},A={a,b,c},S= {l,m,n},则由点A(a,b,c)到直线的距离是

两平行直线P=P1+tS和P=P2+tS的距离是

两平行直线的距离是

与两异面直线皆垂直相交的直线叫做二异面直线的公垂线,两个垂足的连线段叫公垂线段,公垂线段的长就是二异面直线之间的(最短)距离。两异面直线P=Pt+ tS1和P=Pz+tS2的公垂线是唯一存在的,它的方程是(P-P1 ,S1,S)=0,(P-P2,S2,S)=0,此处S=S1× S2。两异面直线的公垂线方程是

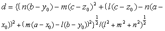
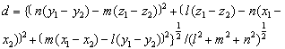
此处两异面直线P=P1+tS1和P=P2+tS2的距离是

两异面直线的距离是

此处
☚ 空间两直线的关系   点到直线的距离 ☛
00013338
随便看

 

离鸟网收录3541549条中英文词条,其功能与新华字典、现代汉语词典、牛津高阶英汉词典等各类中英文词典类似,基本涵盖了全部常用中英文字词句的读音、释义及用法,是语言学习和写作的有利工具。

 

Copyright © 2004-2024 vtrois.com All Rights Reserved
更新时间:2026/4/6 17:07:23