网站首页  词典首页


请输入您要查询的字词:

 

字词 空间方向的确定
类别 中英文字词句释义及详细解析
释义
空间方向的确定

空间方向的确定kongjian fangxiang de gueding

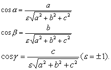
在空间已知A,P两点,则以A为起点作射线AP就表示P点关于A点的方向. 特别连接原点及空间任意一点P所成的射线OP就表示P点关于O点的方向,简称为P点的方向.设l1和l2是空间的两条射线,在空间任取一定点O,过O分别作与l1,L2平行且同向的射线m1和m2,相交射线m1和m2的交角为θ,并规定0≤θ≤π.那么θ叫做射线l1和l2间的夹角.当射线l1和l2平行时,根据它们的同向或反向规定它们的夹角分别是0或π. 当l1和l2异面时,就以相交射线m1和m2的交角θ(0<θ<π)作为异面射线l1和l2的夹角. 如果射线AB和三条坐标轴正向间的夹角分别是α,β,γ(0≤α,β,γ≤π),则这三个角叫做射线AB的方向角.方向角的余弦叫做射线的方向余弦.有时也用λ,μ,γ三个数来表示一条射线的方向余弦. 设有一点P (x,y,z),则射线OP的方向余弦是

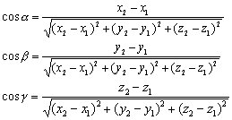
当|OP|=1时,射线OP方向余弦就分别是P点的三个坐标. 设有点P1 (x1,y1,z1)和P2 (x2,y2,z2),则射线P1P2的方向余弦是


任一射线的三个方向余弦的平方和必等于1,即cos2α+cos2β+cos2γ=1.反之,如果一个三元实数组中三个数的平方和等于1,则它们必可以作为一条射线的方向余弦.
如果一条射线的方向余弦是λ,μ,γ,则与λ,μ,γ成比例的三个数a,b,c叫做这条射线所在直线的一组方向数. 这个关系可用下面三个形式中的一个来表示:a:b:c=λ:μ:γ,或a/λ=b/μ=c/γ,或aα=kλ,b=kγ,c=kγ (k≠0). 设有一点P(x,y,z),则P点的坐标x,y,2就是直线OP的一组方向数. 设有两点P1(x1,y1,z1)和P2 (x2,y2,z2),则x2-x1 ,y2-y1,z2-z1就是直线P1P2的一组方向数.如果三个不都是零的数a,b,c是一条直线的一组方向数,则它可以决定两组方向余弦:

☚ 空间线段的定比分点坐标   两射线间的夹角 ☛
00013298
随便看

 

离鸟网收录3541549条中英文词条,其功能与新华字典、现代汉语词典、牛津高阶英汉词典等各类中英文词典类似,基本涵盖了全部常用中英文字词句的读音、释义及用法,是语言学习和写作的有利工具。

 

Copyright © 2004-2024 vtrois.com All Rights Reserved
更新时间:2026/4/8 10:24:39