网站首页  词典首页


请输入您要查询的字词:

 

字词 空间线段的定比分点坐标
类别 中英文字词句释义及详细解析
释义
空间线段的定比分点坐标

空间线段的定比分点坐标kongjian xianduan de dingbifendian zuobiao

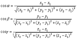
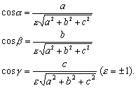
设P1和P2 :是空间的两个点,P点内分或外分有向线段1P2为两部分1P和P2,这两条有向线段的量数比叫做分比,记作λ,即λ=P1P/PP2.当λ>0时,P点为内分点; 当λ<0且λ≠-1时,P点为外分点; 当λ=1时, P点是1P2的中点. 反过来也成立. 当λ=-1时, P点不存在. 设有向线段1P2的始点P1 (x1,y1,z1)和终点P2 (x2,y2,z2),则分比为λ (λ≠-1) 的分点P (x,y,z) 的坐标为

式中如果λ=n ;m,那么


特别1P2的中点坐标是:
☚ 两点间的距离   空间方向的确定 ☛
00013297
随便看

 

离鸟网收录3541549条中英文词条,其功能与新华字典、现代汉语词典、牛津高阶英汉词典等各类中英文词典类似,基本涵盖了全部常用中英文字词句的读音、释义及用法,是语言学习和写作的有利工具。

 

Copyright © 2004-2024 vtrois.com All Rights Reserved
更新时间:2026/4/7 12:07:12