网站首页  词典首页


请输入您要查询的字词:

 

字词 依塞罗酯
类别 中英文字词句释义及详细解析
释义 依塞罗酯

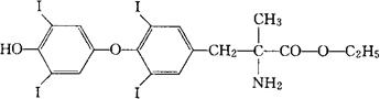
C18H17I4NO4=818.95

CAS-17365-01-4

α-甲基-DL-甲状腺素乙酯。

α-Methyl-DL-thyroxine ethyl ester.

O-(4-羟-3,5-二碘苯基)-3,5-二碘-α-甲基酪氨酸乙酯。

O-(4-Hydroxy-3,5-diiodophenyl)-3,5-diiodo-α-methyl-tyrosine ethyleste.

降血脂药。

Etiroxate,Skleronorm,CG 635.

INN,USAN.

随便看

 

离鸟网收录3541549条中英文词条,其功能与新华字典、现代汉语词典、牛津高阶英汉词典等各类中英文词典类似,基本涵盖了全部常用中英文字词句的读音、释义及用法,是语言学习和写作的有利工具。

 

Copyright © 2004-2024 vtrois.com All Rights Reserved
更新时间:2026/5/31 23:12:41