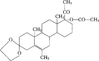
依度孕酮
C26H38O5=430.38 CAS-809-01-8 17-羟基-6-甲基孕甾-5-烯-3,20-二酮环3-(乙烯基乙缩醛)醋酸酯。 17-Hydroxy-6-methylpregn-5-ene-3,20-dionecyclic 3-(ethylene acetal)acetate. 17-(乙酰氧基)-6-甲基-5-孕甾烯-3,20-二酮环3-(1,2-乙烷二基乙缩醛)。17-(Acetyloxy)-6-methyl-5-pregnene-3,20-dione cyclic 3-(1,2-ethanediyl acetal). 促孕甾类药。 益多斯酮。 Edogestrone,PH218. INN,BAN,USAN.  |