网站首页  词典首页


请输入您要查询的字词:

 

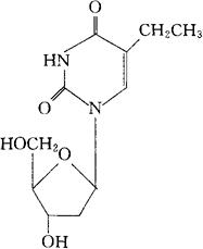
字词 依度尿苷
类别 中英文字词句释义及详细解析
释义 依度尿苷

C11H16N2O5=256.26

CAS-15176-29-1

2′-脱氧-5-乙基尿苷。

2′-Deoxy-5-ethyluridine.

抗病毒药。

Edoxudine,EDU,EUDR,ORF 15817,RWJ 15817,Aedurid,Edurid,Etoxuridine,ADU.

INN,USAN.

随便看

 

离鸟网收录3541549条中英文词条,其功能与新华字典、现代汉语词典、牛津高阶英汉词典等各类中英文词典类似,基本涵盖了全部常用中英文字词句的读音、释义及用法,是语言学习和写作的有利工具。

 

Copyright © 2004-2024 vtrois.com All Rights Reserved
更新时间:2026/5/26 14:11:04