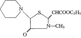
依托唑林
C13H20N2O3S=284.37 CAS-73-09-6 [3-甲基-4-氧-5-(1-哌啶基)-2-噻唑烷亚基]-醋酸乙酯。 [3-Methyl-4-oxo-5-(1-piperidinyl)-2-thiazolidinylidene]-acetic acid,ethyl ester. 3-甲基-4-氧-5-哌啶子基△2,a噻唑烷醋酸乙酯。 3-Methyl-4-oxo-5-piperidino △2,a-thiazolidineacetic acid ethyl ester. 利尿药。 Etozolin,W 2900A. INN,USAN. 
|