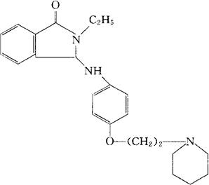
依托多林
C23H29N3O2=379.50 CAS-21590-92-1 2-乙基-3-(β-哌啶基-对-乙氧苯胺基)苯并吡咯酮。 2-Ethyl-3-(β-piperidino-p-phenetidino)phthalimidine. 2-乙基-2,3-二氢-3-[[4-[2-(1-哌啶基)乙氧基]-苯基]氨基]-1H-异吲哚-1-酮。 2-Ethyl-2,3-dihydro-3-[[4-[2-(1-piperidinyl)ethoxy]-phenyl]amino]-1H-isoindol-1-one. 肌肉松弛药。 艾托米夺宁。 Etomidoline,K2680,Amidolin,Smedolin,Dolispasmo,Miantor S. INN,USAN,MI.  |