依托非
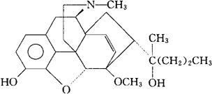
C25H33NO4=411.54 CAS-14521-96-1 6,7,8,14-四氢-7α-(1-羟-1-甲基丁基)-6,14-内亚乙基东罂粟碱。 6,7,8,14-Tetrahydro-7α-(1-hydroxy-1-methylbutyl)-6,14-endoethenooripavine. 4,5-环氧-3-羟-6-甲氧-α,17-二甲基-α-丙基-6,14-亚乙基吗啡喃甲醇。 4,5-Epoxy-3-hydroxy-6-methoxy-α,17-dimethyl-α-propyl-6,14-ethenomorphinan-7-methanol. 镇痛药。 Etorphine,M 99(as hydrochloride),NIH 8068,UM 495. INN,BAN,USAN,MI. 
|