网站首页  词典首页


请输入您要查询的字词:

 

字词 依普吲定
类别 中英文字词句释义及详细解析
释义 依普吲定

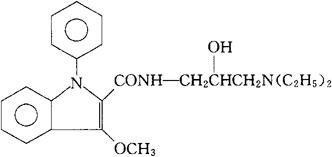
C23H29N3O3=395.50

CAS-83200-08-2

(±)-N-[3-(二乙氨基)-2-羟丙基]-3-甲氧基-1-苯基吲哚-2-羧酰胺。

(±)-N-[3-(Diethylamino)-2-hydroxypropyl]-3-methoxy-1-phenylindole-2-carboxamide.

抗心律失常药。

Eproxindine.

INN,USAN.

随便看

 

离鸟网收录3541549条中英文词条,其功能与新华字典、现代汉语词典、牛津高阶英汉词典等各类中英文词典类似,基本涵盖了全部常用中英文字词句的读音、释义及用法,是语言学习和写作的有利工具。

 

Copyright © 2004-2024 vtrois.com All Rights Reserved
更新时间:2026/4/8 11:35:47