网站首页  词典首页


请输入您要查询的字词:

 

字词 依普罗沙坦
类别 中英文字词句释义及详细解析
释义 依普罗沙坦

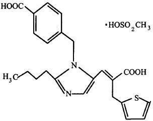
【化学名称】3-[2-丁基-1-(4-羧基苄基)-1H-咪唑-5-基]-2-(2-噻吩基甲基)-2-(E)-丙烯酸甲磺酸盐

【化学结构】

【药理作用】本品为新一代抗高血压药物,选择性阻断肾素-血管紧张素-醛固酮系统,拮抗与 A ngⅡ AT1受体有关的血管收缩、钠水潴留、醛固酮释放和血管平滑肌细胞肥大等效应,并对效应器起保护作用。

本品直接作用于A ngⅡ AT1受体亚型,具有高度选择性,可完全阻断健康志愿者灌注外源性 A ngⅡ的升压作用,抑制醛固酮分泌,阻止肾血流量降低。肾脏对本品高度敏感,低浓度即能有效增加肾血流量。

本品口服后1~2h达血药峰值,半衰期为5~9h,长期给药无明显全身蓄积现象。蛋白结合率较高,约为98% ,在体内很少代谢降解,大部分随粪便排出体外,少量经肾脏随尿液排出体外。

【适应证】适用于高血压治疗。

【剂量与用法】成人:推荐起始剂量为600 mg,1次/d,饭后服用,最大日剂量不超过800 mg。

老年人:推荐起始剂量300 mg,1次/d,饭后服用。儿童不宜。

【临床评价】本品具有明显的降压效果,42% 病人疗效良好,而相应安慰剂对照组有效者仅为21.5% 。本品疗效至少优于依那普利和氯沙坦,82% 病人疗效肯定,而依那普利仅为73% 。本品可使收缩压或舒张压从基线平均降低1.65或1.6kPa,而氯沙坦可降低1.41或1.25kPa。本品对收缩压降低作用显著,尤其适用于收缩压较高的病人及老年病人。

临床研究表明,本品口服1次/d,600 mg,在下一次用药的24h间隔内具有持续稳定的降血压作用,未见体位性低血压及停药后血压升高反弹现象。

本品不影响心率,不影响空腹三酰甘油、总胆固醇、LDL胆固醇及血糖水平。2000多例高血压病人的临床研究表明,本品耐受性与安慰剂相似。与其他降压药物联用时,不良反应未增加。本品不产生与缓激肽有关的如咳嗽等不良反应,甚至先前服用ACE抑制剂发展为顽固性干咳的病人也无此类现象发生。与其他A ngⅡ受体拮抗剂不同,本品不经细胞色素P450酶系统代谢,因此与经此途径代谢的药物无相互作用。

【不良反应】本品主要不良反应有头晕,关节疼痛,鼻塞,胃肠胀气,血中三酰甘油浓度升高。

【注意事项】肾功能不全或轻至中度肝功能障碍病人慎用。严重肝功能障碍以及孕妇、哺乳期妇女禁用。本品与利尿剂和补钾剂存在药物间相互作用。

【制剂规格】片剂:每片含本品300、400或600 mg。

【生产厂家】英国SmithKlineBeecham 公司。

随便看

 

离鸟网收录3541549条中英文词条,其功能与新华字典、现代汉语词典、牛津高阶英汉词典等各类中英文词典类似,基本涵盖了全部常用中英文字词句的读音、释义及用法,是语言学习和写作的有利工具。

 

Copyright © 2004-2024 vtrois.com All Rights Reserved
更新时间:2026/4/5 15:03:03