依法克生
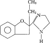
C13H16N2O=216.28 CAS-89197-32-0AA (±-)-2-(2-乙基-2,3-二氢-2-苯并呋喃基)-2-咪唑啉。 (±)-2-(2-Ethyl-2,3-dihydro-2-benzofuranyl)-2-imidazoline. (±)-2-(2-乙基-2,3-二氢-2-苯并呋喃基)-4,5-二氢-1H-咪唑。 (±)-2-(2-Ethyl-2,3-dihydro-2-benzofuranyl)-4,5-dihydro-1H-imidazole. α2-受体阻滞药。 益法罗辛。 Efaroxan. INN,BAN,USAN.  |