网站首页  词典首页


请输入您要查询的字词:

 

字词 依美斯汀
类别 中英文字词句释义及详细解析
释义 依美斯汀

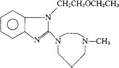
C17H26N4O=302.42

CAS-87233-61-2

1-(2-乙氧乙基)-2-(六氢-4-甲基-1H-1,4-二氮杂-1-基)苯并咪唑。

1-(2-Ethoxyethyl)-2-(hexahydro-4-methyl-1H-1,4-diazepin-1-yl)benzimidazole.

抗组胺药。

Emedastine.

INN,USAN.

随便看

 

离鸟网收录3541549条中英文词条,其功能与新华字典、现代汉语词典、牛津高阶英汉词典等各类中英文词典类似,基本涵盖了全部常用中英文字词句的读音、释义及用法,是语言学习和写作的有利工具。

 

Copyright © 2004-2024 vtrois.com All Rights Reserved
更新时间:2026/4/6 22:05:34