网站首页  词典首页


请输入您要查询的字词:

 

字词 依诺他滨[中]
类别 中英文字词句释义及详细解析
释义 依诺他滨[中]

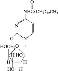
C31H55N3O6=565.79

CAS-55726-47-1

N-(1-β-D-阿拉伯呋喃糖基-1,2-二氢-2-氧代-4-嘧啶基)二十二烷酰胺。

N-(1-β-D-Arabinofuranosyl-1,2-dihydro-2-oxo-4-pyrimidinyl)docosanamide.

抗肿瘤药。

依诺胞苷。

Sunrabin,Enocitabine.

INN,JAN,USAN,MI.

随便看

 

离鸟网收录3541549条中英文词条,其功能与新华字典、现代汉语词典、牛津高阶英汉词典等各类中英文词典类似,基本涵盖了全部常用中英文字词句的读音、释义及用法,是语言学习和写作的有利工具。

 

Copyright © 2004-2024 vtrois.com All Rights Reserved
更新时间:2026/5/25 11:30:48