网站首页  词典首页


请输入您要查询的字词:

 

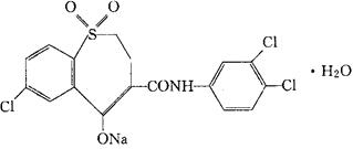
字词 依诺利康钠
类别 中英文字词句释义及详细解析
释义 依诺利康钠

C17H11Cl3NNaO4S·H2O=472.70

CAS-73574-69-3

3′,4′,7-三氯-2,3-二氢-5-羟基-1-苯并硫-4-甲酰苯胺1,1-二氧化单物钠盐一水化合物。

3′,4′,7-Trichloro-2,3-dihydro-5-hydroxy-1-benzothiepin-4-carboxanilide 1,1-dioxide mono sodium salt monohydrate.

抗风湿药。

Enolicam Sodium,CGS 539113 Monhydrate.

USAN.

随便看

 

离鸟网收录3541549条中英文词条,其功能与新华字典、现代汉语词典、牛津高阶英汉词典等各类中英文词典类似,基本涵盖了全部常用中英文字词句的读音、释义及用法,是语言学习和写作的有利工具。

 

Copyright © 2004-2024 vtrois.com All Rights Reserved
更新时间:2026/4/6 21:05:27