网站首页  词典首页


请输入您要查询的字词:

 

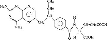
字词 依达曲沙
类别 中英文字词句释义及详细解析
释义 依达曲沙

C22H25N7O5=467.48

CAS-80576-83-6

N-[对-[1-[(2,4-二氨基-6-蝶啶基)甲基]丙基]苯甲酰]-L-谷氨酸。

N-[p-[1-[(2,4-Diamino-6-pteridinyl)methyl]propyl]benzoyl]-L-glutamic acid.

抗肿瘤药。

Edatrexate,CGp30694.

INN,USAN.

随便看

 

离鸟网收录3541549条中英文词条,其功能与新华字典、现代汉语词典、牛津高阶英汉词典等各类中英文词典类似,基本涵盖了全部常用中英文字词句的读音、释义及用法,是语言学习和写作的有利工具。

 

Copyright © 2004-2024 vtrois.com All Rights Reserved
更新时间:2026/5/25 11:26:21