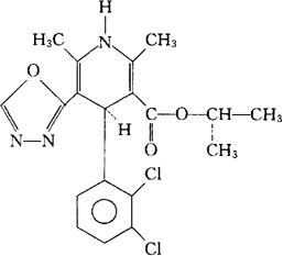
依那地平
C19H19Cl2N3O3=408.28 CAS-103946-15-2 异丙基(-)-(S)-4-(2,3-二氯苯基)-1,4-二氢-2,6-二甲基-5-(1,3,4-噁二唑-2-基)烟酸酯。 Isopropyl(-)-(S)-4-(2,3-dichlorophenyl)-1,4-dihydro-2,6-dimethyl-5-(1,3,4-oxadiazol-2-yl)nicotinate. 4-(2,3-二氯苯基)-1,4-二氢-2,6-二甲基-5-(1,3,4噁-二唑-2-基)-3-吡啶羧酸1-甲基乙基酯。 4-(2,3-Dichlorophenyl)-1,4-dihydro-2,6-dimethyl5-(1,3,4-oxadiazol-2-yl)-3-pyridinecarboxylic acid 1-methylethyl ester. 血管扩张药,钙拮抗药。 Elnadipine. INN,USAN.  |